主要职责
中国科学院贯彻落实党中央关于科技创新的方针政策和决策部署,在履行职责过程中坚持党中央对科技工作的集中统一领导。主要职责是:
一、开展使命导向的自然科学领域基础研究,承担国家重大基础研究、应用基础研究、前沿交叉共性技术研究和引领性颠覆性技术研究任务,打造原始创新策源地。 更多+
院况简介
中国科学院是国家科学技术界最高学术机构、国家科学技术思想库,自然科学基础研究与高技术综合研究的国家战略科技力量。
1949年,伴随着新中国的诞生,中国科学院成立。建院70余年来,中国科学院时刻牢记使命,与科学共进,与祖国同行,以国家富强、人民幸福为己任,人才辈出,硕果累累,为我国科技进步、经济社会发展和国家安全作出了不可替代的重要贡献。 更多+
院领导集体
科技奖励
科技期刊
科技专项
科研进展/ 更多
工作动态/ 更多
工作动态/ 更多
中国科学院学部
中国科学院院部
语音播报
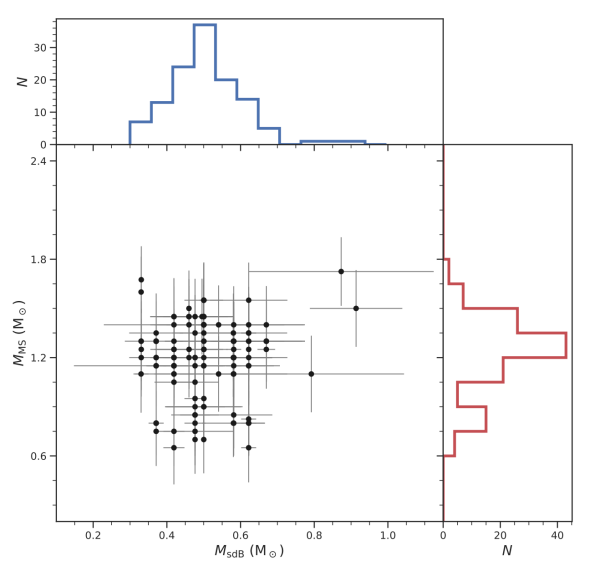
热亚矮星是一类核心处于氦燃烧阶段、外壳极薄的致密恒星,其演化过程对解释椭圆星系紫外超出现象具有重要意义。
近日,中国科学院云南天文台在热亚矮星双星物理参数统计研究方面取得进展。团队基于郭守敬望远镜(LAMOST)低分辨率光谱数据,从前期候选体中筛选出123个高质量的热亚矮星和主序星双星系统。通过光谱分解技术获取热亚矮星有效温度和表面重力,并结合恒星演化模型估算双星各自的质量与半径。
研究发现,热亚矮星质量集中在0.5M⊙附近,符合核心氦燃烧星特征;主序伴星质量范围为0.6-1.9M⊙,其中1.0-1.4M⊙占比最高,对应F/G型主序星。团队采用蒙特卡洛方法进行统计推断,揭示双星轨道周期主要分布在数十天至数千天的长周期区间,与稳定洛希瓣外流通道形成的宽距双星预期一致。
该研究构建了目前最大规模、参数最均匀的复合光谱热亚矮星双星样本,系统揭示了此类天体质量、半径及轨道周期的统计规律。结果表明,该类双星群体主要通过稳定洛希瓣外流通道形成,为区分热亚矮星双星演化路径提供了关键观测约束。研究成果丰富了热亚矮星形成机制的认知体系,为后续大样本双星演化统计研究奠定基础。
相关研究成果发表在《天体物理学杂志》(The Astrophysical Journal)上。研究工作得到国家自然科学基金、国家重点研发计划等的支持。

双星系统中热亚矮星与主序伴星的质量分布,热亚矮星质量集中于0.5M⊙附近,而主序伴星质量范围较宽。

通过蒙特卡洛方法统计推断的轨道周期分布,系统周期主要集中在数十天至数千天的长周期区间。
扫一扫在手机打开当前页
© 1996 - 中国科学院 版权所有 京ICP备05002857号-1
京公网安备110402500047号 网站标识码bm48000002
地址:北京市西城区三里河路52号 邮编:100864
电话: 86 10 68597114(总机) 86 10 68597289(总值班室)








