主要职责
中国科学院贯彻落实党中央关于科技创新的方针政策和决策部署,在履行职责过程中坚持党中央对科技工作的集中统一领导。主要职责是:
一、开展使命导向的自然科学领域基础研究,承担国家重大基础研究、应用基础研究、前沿交叉共性技术研究和引领性颠覆性技术研究任务,打造原始创新策源地。 更多+
院况简介
中国科学院是国家科学技术界最高学术机构、国家科学技术思想库,自然科学基础研究与高技术综合研究的国家战略科技力量。
1949年,伴随着新中国的诞生,中国科学院成立。建院70余年来,中国科学院时刻牢记使命,与科学共进,与祖国同行,以国家富强、人民幸福为己任,人才辈出,硕果累累,为我国科技进步、经济社会发展和国家安全作出了不可替代的重要贡献。 更多+
院领导集体
科技奖励
科技期刊
科技专项
科研进展/ 更多
工作动态/ 更多
工作动态/ 更多
中国科学院学部
中国科学院院部
语音播报
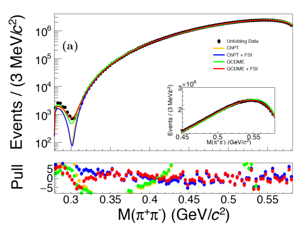
粲偶素是由一个粲夸克和一个反粲夸克构成的束缚态,被视为研究自然界最强作用力,即强相互作用的“天然实验室”。
近日,北京谱仪III(BESIII)实验在粲偶素衰变研究中取得突破,首次在双π介子质量阈值处观测到一个显著的“阈值增强”结构。
基于BESIII探测器收集的约27亿ψ(3686)事例,研究团队筛选出约3700万个ψ(3686)→π+π-J/ψ事例,并开展了前所未有的高精度分析。研究发现,在绘制的π介子对质量分布图中,一个清晰的峰状结构出现在π⁺π⁻阈值附近。实验测得该结构的质量约为285.6±2.5MeV/c2,宽度约为16.3±0.9MeV。该结构的宽度远小于实验上观测到的π介子偶素态,暗示其背后存在新的物理机制。
为揭示该奇特结构的本质,研究团队采用了两种理论模型进行对比分析。结果表明,若将ψ(3686)视为S波与D波成分的混合态并考虑末态相互作用(FSI),理论计算结果可以较好描述实验观测数据,揭示该奇特结构可能并非一个传统意义上的新粒子,很可能与ψ(3686)粒子内部的复杂结构及其衰变机制密切相关,是一种由强相互作用在衰变瞬间“塑造”出来的奇特量子动力学效应。
该研究为理解强相互作用理论在低能非微扰区域的复杂行为打开了一扇全新的高精度观测窗口。
相关研究成果发表在《物理评论快报》(Physical Review Letters)上。研究工作得到国家自然科学基金、科技部重点研发计划等的支持。

ψ(3686) → π+π-J/ψ衰变示意图。

π+π-质量分布与不同理论计算结果的比较。
扫一扫在手机打开当前页
© 1996 - 中国科学院 版权所有 京ICP备05002857号-1
京公网安备110402500047号 网站标识码bm48000002
地址:北京市西城区三里河路52号 邮编:100864
电话: 86 10 68597114(总机) 86 10 68597289(总值班室)








