主要职责
中国科学院贯彻落实党中央关于科技创新的方针政策和决策部署,在履行职责过程中坚持党中央对科技工作的集中统一领导。主要职责是:
一、开展使命导向的自然科学领域基础研究,承担国家重大基础研究、应用基础研究、前沿交叉共性技术研究和引领性颠覆性技术研究任务,打造原始创新策源地。 更多+
院况简介
中国科学院是国家科学技术界最高学术机构、国家科学技术思想库,自然科学基础研究与高技术综合研究的国家战略科技力量。
1949年,伴随着新中国的诞生,中国科学院成立。建院70余年来,中国科学院时刻牢记使命,与科学共进,与祖国同行,以国家富强、人民幸福为己任,人才辈出,硕果累累,为我国科技进步、经济社会发展和国家安全作出了不可替代的重要贡献。 更多+
院领导集体
科技奖励
科技期刊
科技专项
科研进展/ 更多
工作动态/ 更多
工作动态/ 更多
中国科学院学部
中国科学院院部
语音播报
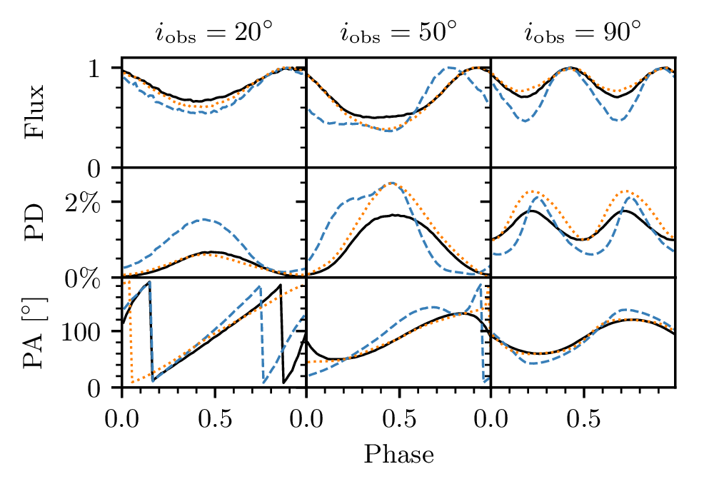
中子星天体是宇宙中超密物质的天然实验室。在X射线辐射以表面热辐射为主导的自转驱动毫秒脉冲星与吸积驱动毫秒脉冲星中,中子星表面辐射分布的非均匀性与其快速旋转效应共同作用,可使观测者观测到周期性X射线周期脉冲信号。这类信号携带中子星质量、半径等重要信息,但其轮廓受多普勒效应、狭义相对论及广义相对论效应等的影响。与多数以发现为驱动的天文观测研究不同,基于快速旋转中子星X射线脉冲轮廓约束其物理性质的研究,高度依赖理论计算的准确度与精度,这是解决该基本天体物理问题的关键所在。
近日,中国科学院上海天文台联合国家天文台,在利用快速自转中子星表面热斑产生的X射线脉冲信号约束中子星物态的研究领域取得进展。
研究团队基于广义相对论光线追踪方法,模拟计算快速旋转中子星表面热斑所产生的周期性脉冲轮廓,所得结果与其他团队历经二十余年建立的多项检验标准高度一致。同时,研究团队构建了理论模型及配套数值计算程序——MONK-NS。该程序集成了广义相对论框架下的三维光线追踪与辐射转移过程,并具备内置X射线偏振辐射计算能力。依托上述功能,研究团队首次揭示了不同热斑几何构型对应迥异的X射线偏振辐射特征,并提出了脉冲信号偏振辐射的模型检验判据。
上述成果为下一代X射线天文卫星观测数据用于中子星物态的精准、严格约束奠定了重要理论基础。
相关研究成果发表在《皇家天文学会月报》(The Monthly Notices of the Royal Astronomical Society)上。研究工作得到国家自然科学基金委员会的支持。

MONK-NS计算的不同几何形状热斑脉冲轮廓(上)、偏振度(中)和偏振角(下)对比图
© 1996 - 中国科学院 版权所有 京ICP备05002857号-1
京公网安备110402500047号 网站标识码bm48000002
地址:北京市西城区三里河路52号 邮编:100864
电话: 86 10 68597114(总机) 86 10 68597289(总值班室)








