主要职责
中国科学院贯彻落实党中央关于科技创新的方针政策和决策部署,在履行职责过程中坚持党中央对科技工作的集中统一领导。主要职责是:
一、开展使命导向的自然科学领域基础研究,承担国家重大基础研究、应用基础研究、前沿交叉共性技术研究和引领性颠覆性技术研究任务,打造原始创新策源地。 更多+
院况简介
中国科学院是国家科学技术界最高学术机构、国家科学技术思想库,自然科学基础研究与高技术综合研究的国家战略科技力量。
1949年,伴随着新中国的诞生,中国科学院成立。建院70余年来,中国科学院时刻牢记使命,与科学共进,与祖国同行,以国家富强、人民幸福为己任,人才辈出,硕果累累,为我国科技进步、经济社会发展和国家安全作出了不可替代的重要贡献。 更多+
院领导集体
科技奖励
科技期刊
科技专项
科研进展/ 更多
工作动态/ 更多
工作动态/ 更多
中国科学院学部
中国科学院院部
语音播报
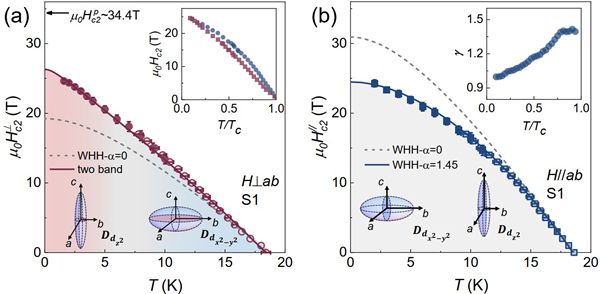
近日,中国科学院合肥物质科学研究院等,依托稳态强磁场实验装置水冷磁体WM5,结合强磁场与高压等极端条件,绘制了加压三层镍酸盐La4Ni3O10-δ单晶上临界磁场的全温区相图,揭示其近各向同性的上临界磁场,为理解镍酸盐高温超导配对机制提供实验依据。
自双层RP镍酸盐La3Ni2O7-δ在高压下被发现具有近80 K的超导温度以来,三层同体系La4Ni3O10-δ单晶在压力下也被证实存在体超导性。上临界磁场作为超导体的基本参数之一,对理解超导配对机制至关重要。然而,要完整测量RP镍酸盐的上临界磁场并表征其各向异性,在技术上具有挑战性。此外,由于水冷磁体的内部空间有限,传统技术无法实现高压腔在强磁场中的原位旋转,而这恰恰是测量上临界场各向异性的关键所在。
该研究设计了一套原位转角电输运测试系统,能够在50 GPa高压与35 T强磁场相结合的综合极端条件下,实现样品的高精度原位旋转。利用这一技术,团队测量了三层RP镍酸盐La4Ni3O10-δ在不同磁场方向上的上临界磁场。研究发现,材料的上临界磁场在全温度范围内均表现出显著的近各向同性特征,且这一特性与传统层状超导材料的各向异性行为形成对比。双带模型分析显示,超导特性源于两个轨道能带的贡献——二者的扩散率各向异性相反、相互补偿,呈现出近各向同性。
这一研究为理解多轨道参与的超导配对机制提供了实验依据,为探究镍酸盐高温超导的微观本质提供了新方向。同时,研究建立了在强磁场-高压-低温下开展角度依赖输运测试的实验能力,为在极端压力与强磁场联合作用下探索量子材料提供了重要手段。
相关研究成果发表在Physical Review X上。研究工作得到国家重点研发计划、国家自然科学基金、中国科学院相关项目等的支持。

三层镍酸盐La4Ni3O10-δ强磁场下两个方向的超导上临界场相图

转角杆实物图及DAC压力包示意图
扫一扫在手机打开当前页
© 1996 - 中国科学院 版权所有 京ICP备05002857号-1
京公网安备110402500047号 网站标识码bm48000002
地址:北京市西城区三里河路52号 邮编:100864
电话: 86 10 68597114(总机) 86 10 68597289(总值班室)








