主要职责
中国科学院贯彻落实党中央关于科技创新的方针政策和决策部署,在履行职责过程中坚持党中央对科技工作的集中统一领导。主要职责是:
一、开展使命导向的自然科学领域基础研究,承担国家重大基础研究、应用基础研究、前沿交叉共性技术研究和引领性颠覆性技术研究任务,打造原始创新策源地。 更多+
院况简介
中国科学院是国家科学技术界最高学术机构、国家科学技术思想库,自然科学基础研究与高技术综合研究的国家战略科技力量。
1949年,伴随着新中国的诞生,中国科学院成立。建院70余年来,中国科学院时刻牢记使命,与科学共进,与祖国同行,以国家富强、人民幸福为己任,人才辈出,硕果累累,为我国科技进步、经济社会发展和国家安全作出了不可替代的重要贡献。 更多+
院领导集体
创新单元
科技奖励
科技期刊
工作动态/ 更多
中国科学院学部
中国科学院院部
语音播报
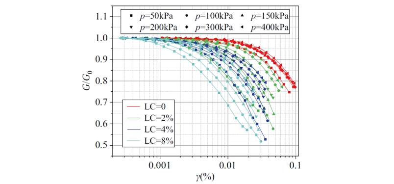
膨胀土为一种具有显著胀缩性的特殊性土,其广泛分布于世界各地并造成各种工程问题。工程中存在各种动荷载,如地震、交通荷载和桩基贯入,使得许多岩土工程结构物如挡墙、地基等常处于小应变状态(<0.1%),因此土体的变形特性受到越来越多关注。土体小应变剪切模量是分析土体或土工结构物变形特性和动荷载作用下场地动反应所需的关键参数,随着变形的增大,小应变剪切模量通常表现出非线性衰减特性。目前多采用经验模型来描述土体小应变剪切模量的非线性衰减特性,缺乏对土体小应变剪切模量非线性衰减机理的研究。另外,改性膨胀土通常可作为建筑材料铺设路基,为此需要针对性研究交通动荷载下改性膨胀土小应变剪切模量的非线性衰减特性。
中国科学院武汉岩土力学研究所特殊土土力学组研究人员通过共振柱试验系统研究了土体结构、平均有效应力、加卸载应力路径和振动循环次数对膨胀土小应变剪切模量的影响,揭示了土体小应变剪切模量的非线性衰减规律,并提出了反映土体小应变剪切模量演化规律的统一损伤模型。研究人员采用石灰对膨胀土进行改性,研究了石灰改性膨胀土小应变剪切模量的非线性衰减特性。研究发现土体小应变剪切模量的非线性衰减特性本质上可看作是土体变形导致的损伤行为,且土体小应变剪切模量的非线性衰减规律均可通过统一损伤模型进行描述。石灰能够很好地提升膨胀土的小应变剪切模量,但也增大了膨胀土的脆性,工程中建议采用少量的石灰对膨胀土进行处理。该研究可为小应变范围内岩土工程变形分析提供理论和实际指导。
相关研究成果近期发表在《工程地质学》(Engineering Geology)和《土壤与沉积物杂志》(Journal of Soils and Sediments)上。研究工作得到国家重点研发计划的支持。

图1 膨胀土小应变剪切模量衰减规律

图2 损伤模型结果与试验数据比较

图3 石灰改性膨胀土小应变剪切模量衰减特性

图4 石灰改性膨胀土微观结构特征
扫一扫在手机打开当前页
© 1996 - 中国科学院 版权所有 京ICP备05002857号-1
京公网安备110402500047号 网站标识码bm48000002
地址:北京市西城区三里河路52号 邮编:100864
电话: 86 10 68597114(总机) 86 10 68597289(总值班室)
© 1996 - 中国科学院 版权所有 京ICP备05002857号-1
京公网安备110402500047号 网站标识码bm48000002
地址:北京市西城区三里河路52号 邮编:100864
电话: 86 10 68597114(总机) 86 10 68597289(总值班室)
© 1996 - 中国科学院 版权所有
京ICP备05002857号-1
京公网安备110402500047号
网站标识码bm48000002
地址:北京市西城区三里河路52号 邮编:100864
电话:86 10 68597114(总机)
86 10 68597289(总值班室)








