主要职责
中国科学院贯彻落实党中央关于科技创新的方针政策和决策部署,在履行职责过程中坚持党中央对科技工作的集中统一领导。主要职责是:
一、开展使命导向的自然科学领域基础研究,承担国家重大基础研究、应用基础研究、前沿交叉共性技术研究和引领性颠覆性技术研究任务,打造原始创新策源地。 更多+
院况简介
中国科学院是国家科学技术界最高学术机构、国家科学技术思想库,自然科学基础研究与高技术综合研究的国家战略科技力量。
1949年,伴随着新中国的诞生,中国科学院成立。建院70余年来,中国科学院时刻牢记使命,与科学共进,与祖国同行,以国家富强、人民幸福为己任,人才辈出,硕果累累,为我国科技进步、经济社会发展和国家安全作出了不可替代的重要贡献。 更多+
院领导集体
科技奖励
科技期刊
科技专项
科研进展/ 更多
工作动态/ 更多
工作动态/ 更多
中国科学院学部
中国科学院院部
语音播报
淡水渔业捕捞是湖泊、水库和河流等水生态系统面临的一个主要人类活动压力,过度捕捞通常导致鱼类等水生生物的自然种群结构发生变化,有时可造成不可逆转的损失。从全球范围来看,内陆水域主要存在两种渔业捕捞方式:一种是针对目标鱼类的选择性捕捞,另一种是针对整个鱼类群聚的非选择性捕捞。针对整个鱼类群聚的非选择性渔业捕捞方式在我国内陆水体十分普遍并已持续了几十年,但其对生态系统的具体影响仍不清楚。
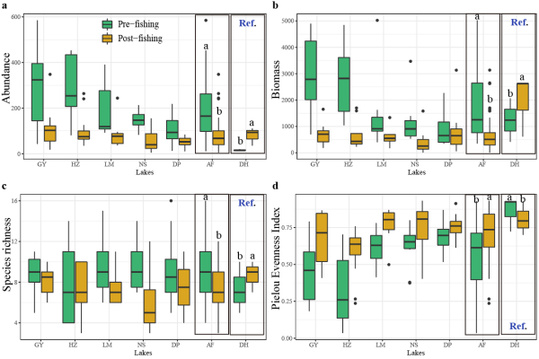
为此,中国科学院水生生物研究所水生态系统健康组及其合作者以中国东部平原的淡水湖泊为例,研究和比较了捕捞湖泊和非捕捞湖泊(即对照湖泊)在不同时期(捕捞前和捕捞后)的鱼类群聚结构特征。该研究具体评估了两个方面:(1)鱼类数量、生物量、多样性和基于生活史策略者的特征组成,以及(2)鱼类群聚结构的相似性。结果显示,在经历捕捞后,捕捞湖泊中鱼类的物种丰富度、丰度、生物量以及三种生活史策略者(机会、均衡和周期)均显著下降,而对照湖泊中的趋势相反(图1、2)。此外,在3年监测期间,各捕捞湖泊鱼类群聚的相似性增加(图3)。
研究表明,非选择性捕捞降低了湖泊鱼类的多样性,使鱼类群聚结构趋于同质化。该研究可为我国内陆水域的渔业资源与生物多样性保护提供科学指导,并对全球其它区域面临非选择性渔业捕捞压力的淡水水体的生物多样性保护有重要借鉴意义。
长江流域重点水域自2021年1月1日起启动了“十年禁捕”。相比禁捕之前,长江流域已经开展禁捕的水体由于消除了非选择性捕捞的压力而成为了研究中的“对照湖泊”。随着禁捕工作的推进,禁捕水体中的鱼类物种丰富度、丰度、生物量等指标预期将得到一定程度的恢复和改善。
相关研究成果以Fish diversity reduction and assemblage structure homogenization in lakes: a case study on unselective fishing in China为题,在Water Biology and Security上在线发表。研究工作得到国家重点研发计划项目、中科院前沿科学重点研究计划项目、中科院重点部署项目以及淡水生态与生物技术国家重点实验室项目等的资助。

图1.捕捞前后捕捞湖泊和对照湖泊中鱼类的(a)以每单位努力的个体为单位的丰度,(b)以每单位努力的克重量为单位的生物量,(c)物种丰富度,和(d)Pielou均匀度指数

图2.三元图和箱形图显示了(a)鱼类机会、周期和均衡生活史策略者的相对比例,以及捕捞前后三种鱼类生活史策略者在(b)捕捞湖泊和(c)对照湖泊的丰度变化

图3.非度量多维尺度分析揭示(a)2017年捕捞前、(b)2017年捕捞后、(c)2018年捕捞后和(d)2019年捕捞后研究湖泊采样点物种组成的变化格局
© 1996 - 中国科学院 版权所有 京ICP备05002857号-1
京公网安备110402500047号 网站标识码bm48000002
地址:北京市西城区三里河路52号 邮编:100864
电话: 86 10 68597114(总机) 86 10 68597289(总值班室)








