主要职责
中国科学院贯彻落实党中央关于科技创新的方针政策和决策部署,在履行职责过程中坚持党中央对科技工作的集中统一领导。主要职责是:
一、开展使命导向的自然科学领域基础研究,承担国家重大基础研究、应用基础研究、前沿交叉共性技术研究和引领性颠覆性技术研究任务,打造原始创新策源地。 更多+
院况简介
中国科学院是国家科学技术界最高学术机构、国家科学技术思想库,自然科学基础研究与高技术综合研究的国家战略科技力量。
1949年,伴随着新中国的诞生,中国科学院成立。建院70余年来,中国科学院时刻牢记使命,与科学共进,与祖国同行,以国家富强、人民幸福为己任,人才辈出,硕果累累,为我国科技进步、经济社会发展和国家安全作出了不可替代的重要贡献。 更多+
院领导集体
科技奖励
科技期刊
科技专项
科研进展/ 更多
工作动态/ 更多
工作动态/ 更多
中国科学院学部
中国科学院院部
语音播报
近日,中国科学院近代物理研究所及合作者,在大爆炸重要锂消耗反应7Li(d,n)24He的天体反应率研究中取得重要进展。
大爆炸是当前描述宇宙起源和演化最成功的理论之一,而该理论并非十全十美。大爆炸锂丰度问题(初期锂丰度的理论预测值是观测值的三倍)无法解释,宇宙学界、天文观测界和核物理界的科学家致力于解决该问题。大爆炸核合成包含的数百个反应中,重要反应只有17个。经过科研人员多年努力,目前反应率存在较大不确定性的重要反应只剩下7Li(d,n)24He。由于该反应出射道涉及三个粒子,且包括中子,实验测量不易实现。近30年来,科研人员在大爆炸核合成计算中使用的是BM93反应率。
由近代物理所主导,联合北京航空航天大学、日本东京大学、日本国立天文台、英国赫尔大学、匈牙利科学院、美国密西根州立大学和美国德州农工大学康莫斯分校,采用国际上新近测量的镜像核对9B和9Be氘阈附近的能级信息,巧妙利用相关理论,给出了可靠的7Li(d,n)24He天体反应率。相关成果发表在The Astrophysical Journal上。
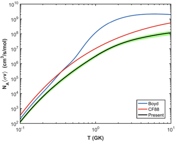
研究显示,在大爆炸核合成典型温度处,新反应率比当前广泛使用的BM93反应率小了将近两个量级。同时,该研究首次给出该反应率的不确定性(图2所示)。
研究运用重子均匀分布和不均匀分布两种大爆炸模型计算,发现新反应率的使用没有朝着解决锂丰度问题的方向发展,反而加剧了该问题。该工作消除了最后一个控制大爆炸核合成的重要反应的反应率不确定性,对于进一步理解锂丰度问题,推动宇宙学、天文观测学和粒子物理学的发展,探索和限制标准模型外新物理具有重要意义。
研究工作得到中科院战略性先导科技专项(B类)、中科院青年创新促进会、国家自然科学基金等的支持。

图1.起源于宇宙大爆炸(箭头起始处)的宇宙随时间(红色箭头方向)的演化示意图。7Li(d,n)24He反应发生在宇宙早期的原初核合成过程。(图源/NASA)

图2.7Li(d,n)24He天体反应率随温度的变化曲线。黑色实线为最新结果,绿色阴影带为相应的误差,蓝色实线和红色实线分别对应BM93和CF88反应率。(图/侯素青)
扫一扫在手机打开当前页
© 1996 - 中国科学院 版权所有 京ICP备05002857号-1
京公网安备110402500047号 网站标识码bm48000002
地址:北京市西城区三里河路52号 邮编:100864
电话: 86 10 68597114(总机) 86 10 68597289(总值班室)








