主要职责
中国科学院贯彻落实党中央关于科技创新的方针政策和决策部署,在履行职责过程中坚持党中央对科技工作的集中统一领导。主要职责是:
一、开展使命导向的自然科学领域基础研究,承担国家重大基础研究、应用基础研究、前沿交叉共性技术研究和引领性颠覆性技术研究任务,打造原始创新策源地。 更多+
院况简介
中国科学院是国家科学技术界最高学术机构、国家科学技术思想库,自然科学基础研究与高技术综合研究的国家战略科技力量。
1949年,伴随着新中国的诞生,中国科学院成立。建院70余年来,中国科学院时刻牢记使命,与科学共进,与祖国同行,以国家富强、人民幸福为己任,人才辈出,硕果累累,为我国科技进步、经济社会发展和国家安全作出了不可替代的重要贡献。 更多+
院领导集体
科技奖励
科技期刊
科技专项
科研进展/ 更多
工作动态/ 更多
工作动态/ 更多
中国科学院学部
中国科学院院部
语音播报
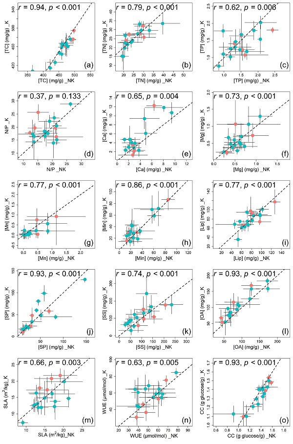
喀斯特森林是分布在以碳酸盐岩类岩石和富含Ca2+、Mg2+的钙质土之上的植被生态系统,具有土层薄、土体不连续、保水能力弱、抵御外界干扰阈值低的特点。我国西南喀斯特森林因小生境多样性、复杂性和异质性,植物呈现高度多样性和特有种丰富的特征。我国西南喀斯特和非喀斯特森林存在诸多共有种均为森林的优势种。因此,对比研究喀斯特与非喀斯特森林共有优势树种叶片功能性状的差异及其内在关联性,可为揭示植物对喀斯特生境的适应机制及石漠化植被恢复实践提供依据。
中国科学院华南植物园生态与环境研究中心博士研究生汤松波在研究员旷远文的指导下,测定了贵州省喀斯特和非喀斯特森林18个优势种15个叶片功能性状,并构建了2种生境下不同功能性状之间的关联性。研究发现,15个叶片功能性状在喀斯特和非喀斯特生境下,兼具种间和种内的异质性和均质性特征,生境条件决定了优势树种叶片不同功能性状之间的关联性(图1),优势树种能通过在叶片中直接积累Ca并间接提高有机酸和矿物质含量、显著降低叶片构建成本的策略,适应喀斯特生境(图2)。
相关研究结果发表在Ecology and Evolution上。研究工作得到国家重大科学研究计划项目和中科院青年创新促进会的支持。

图1.优势树种叶片功能性状在喀斯特(K)和非喀斯特(NK)生境中的关联性。
图2.优势树种通过提高叶片Ca含量并影响叶片有机酸(OA)、矿物质(Min)和叶片构建成本(CC)来适应喀斯特生境。
扫一扫在手机打开当前页
© 1996 - 中国科学院 版权所有 京ICP备05002857号-1
京公网安备110402500047号 网站标识码bm48000002
地址:北京市西城区三里河路52号 邮编:100864
电话: 86 10 68597114(总机) 86 10 68597289(总值班室)








