主要职责
中国科学院贯彻落实党中央关于科技创新的方针政策和决策部署,在履行职责过程中坚持党中央对科技工作的集中统一领导。主要职责是:
一、开展使命导向的自然科学领域基础研究,承担国家重大基础研究、应用基础研究、前沿交叉共性技术研究和引领性颠覆性技术研究任务,打造原始创新策源地。 更多+
院况简介
中国科学院是国家科学技术界最高学术机构、国家科学技术思想库,自然科学基础研究与高技术综合研究的国家战略科技力量。
1949年,伴随着新中国的诞生,中国科学院成立。建院70余年来,中国科学院时刻牢记使命,与科学共进,与祖国同行,以国家富强、人民幸福为己任,人才辈出,硕果累累,为我国科技进步、经济社会发展和国家安全作出了不可替代的重要贡献。 更多+
院领导集体
科技奖励
科技期刊
科技专项
科研进展/ 更多
工作动态/ 更多
工作动态/ 更多
中国科学院学部
中国科学院院部
语音播报
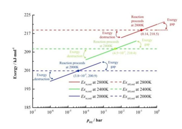
近日,中国科学院工程热物理研究所分布式供能与可再生能源实验室基于化学反应Gibbs自由能函数及㶲方程,首次提出Gibbs函数的热力学第二定律表述,建立热流㶲、化学反应Gibbs自由能与反应热㶲的联系。该模型能够充分阐释热化学反应过程㶲的演化规律,帮助理解热化反应㶲与的相互作用。该方程从㶲的角度为引发化学反应的各种情况建立了统一基准,首次揭示各类化学反应的㶲本质。该研究为开展低温、高效的热化学反应提供了思路。相关研究成果发表在Energy(2021, 219: 119531)上。
引发化学反应的方法有很多,如电解反应、热解反应以及光催化等,而目前国际上未有统一的分析方法可阐明电解、热解以及光催化等途径的能量本质。其中,通用的化学反应进行方向的判据为Gibbs自由能判据。然而,Gibbs自由能判据不能阐明化学反应进行的能量本质,也不能给出非自发反应到自发反应的㶲差距。
工程热物理所以热化学循环分解水制氢体系为研究对象,建立了化学反应㶲与品位方程,阐明反应过程中能质转化与品位变化的本征规律,给出了通过调整反应熵以及外界补偿㶲改善化学反应热力学性能(如降低反应温度)的方法。研究发现,化学反应本质上是㶲到的退化过程。当反应焓所携带的㶲大于反应需要的㶲时,化学反应自发进行;反之,为非自发反应。改变反应熵可以降低化学反应的㶲要求,从而在较低的温度下触发化学反应;外界提供的能量同样可以触发反应,但所提供的能量与其品位及反应温度有关。
研究工作得到国家自然科学基金优秀青年科学基金项目、基础科学中心项目的支持。

吸热反应过程㶲的演化规律

反应需求㶲与压力的关系

输入㶲、反应需求㶲与温度的关系
扫一扫在手机打开当前页
© 1996 - 中国科学院 版权所有 京ICP备05002857号-1
京公网安备110402500047号 网站标识码bm48000002
地址:北京市西城区三里河路52号 邮编:100864
电话: 86 10 68597114(总机) 86 10 68597289(总值班室)








