主要职责
中国科学院贯彻落实党中央关于科技创新的方针政策和决策部署,在履行职责过程中坚持党中央对科技工作的集中统一领导。主要职责是:
一、开展使命导向的自然科学领域基础研究,承担国家重大基础研究、应用基础研究、前沿交叉共性技术研究和引领性颠覆性技术研究任务,打造原始创新策源地。 更多+
院况简介
中国科学院是国家科学技术界最高学术机构、国家科学技术思想库,自然科学基础研究与高技术综合研究的国家战略科技力量。
1949年,伴随着新中国的诞生,中国科学院成立。建院70余年来,中国科学院时刻牢记使命,与科学共进,与祖国同行,以国家富强、人民幸福为己任,人才辈出,硕果累累,为我国科技进步、经济社会发展和国家安全作出了不可替代的重要贡献。 更多+
院领导集体
科技奖励
科技期刊
科技专项
科研进展/ 更多
工作动态/ 更多
工作动态/ 更多
中国科学院学部
中国科学院院部
语音播报
近期,中国科学院合肥物质科学研究院固体物理研究所纳米材料与器件技术研究部环境与能源纳米材料中心团队在电催化合成过氧化氢研究中取得进展,制备出负载在氮掺杂石墨碳上的Co单原子催化剂(Co-SAs/NC),实现高效电催化两电子氧还原合成过氧化氢。相关研究成果以Cobalt single atom catalysts for efficient electrosynthesis of hydrogen peroxide为题,发表在Inorganic Chemistry Frontiers上。
过氧化氢(H2O2)作为一种有价值的化学物质,在造纸、纺织、废水处理和化学氧化等方面具有广泛应用。目前,H2O2在工业上主要是通过蒽醌法进行大规模生产,将蒽醌分子依次进行氢化、氧化,然后萃取、蒸馏,最终得到高浓度的H2O2。这是一个多步骤、能源密集型的过程,并且得到的高浓度H2O2在储存和运输过程中可能会引发安全问题。因此近年来,学界不断探索更加绿色、安全且可原位生成低浓度H2O2的策略。电催化两电子氧还原(2e- ORR)合成H2O2是一种具有前景的替代方法,但ORR过程的反应动力学缓慢,并且存在4e- ORR生成H2O的竞争反应,降低了H2O2的产率。因此,制备出高活性和选择性的催化剂材料是发展电催化合成H2O2的关键。
基于此,固体所研究人员通过配位调控策略,构筑出氮配位的Co单原子电催化剂材料。将一定比例钴源、络合剂和含氮聚合物的混合物高温碳化处理,制备出氮配位的Co单原子催化剂(Co-SAs/NC)。该催化剂独特的单原子活性位点与表面丰富的含氧官能团展现出协同效应,有效提高了两电子氧还原产生过氧化氢的活性和选择性。在0.1 M KOH电解液中,起始电位为0.84 V,选择性达到76.0%。为了验证H2O2能够电解生成且可在电解液中积累,研究人员将Co-SAs/NC负载在碳布上进行恒电位电解,可获得38.1±1.5 mmol gcat-1 h-1 (17318±682 mmol gCo-1 h-1)的H2O2产率以及72.1%±4.2%的法拉第效率。该研究有利于设计和发展两电子氧还原电催化剂。
研究工作得到国家自然科学基金、中国博士后科学基金面上项目和合肥研究院院长基金青年“火花”项目的支持。

图1.Co-SAs/NC的合成示意图(a),TEM图(b),球差校正的HAADF-STEM图(c)和EDS能谱(d)

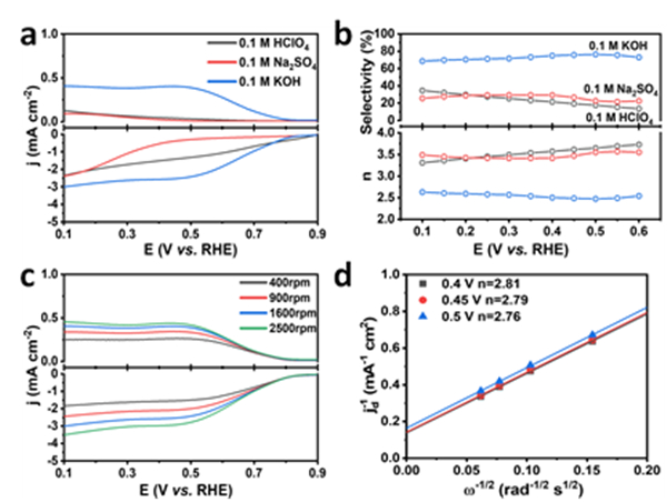
图2.(a)不同氧饱和电解质中Co-SAs/NC在1600 rpm时的LSV曲线;(b)H2O2选择性和转移电子数(n);(c)在0.1 M KOH下,Co-SAs/NC在不同转速下的LSV曲线;(d)Koutecky-Levich (K-L)图及其对应的n值

图3.(a)Co-SAs/NC的2 h稳定性测试;(b)不同电位下Co-SAs/NC反应2 h时的H2O2生成量及相应的法拉第效率(FE%);(c)Co-SAs/NC在0.5 V(vs. RHE)反应10 h时的I-t曲线
扫一扫在手机打开当前页
© 1996 - 中国科学院 版权所有 京ICP备05002857号-1
京公网安备110402500047号 网站标识码bm48000002
地址:北京市西城区三里河路52号 邮编:100864
电话: 86 10 68597114(总机) 86 10 68597289(总值班室)








