语音播报
超薄导电材料在透明显示、柔性电子皮肤、可穿戴光伏器件等方面具有广阔应用前景,是应用材料领域的前沿领域。现代微电子器件不仅要求这些超薄材料具有优异的导电性和透光性,而且要求它们具有更丰富的物理特性,如磁性、热电性、延展性和抗腐蚀性等,为设计下一代移动智能多功能器件提供备选材料。过渡金属氮化铬(CrN)是集这些优良物理特性于一身的理想材料之一。在室温下,CrN块材呈现金属性,其载流子浓度约为1020cm-3,迁移率约为100cm2·V-1·s-1。当温度低于10℃时,CrN的晶体结构从立方相转变为斜方相,其磁基态也将从顺磁性转变为反铁磁性,同时伴随着电阻率突变。CrN这种天然的反铁磁金属性使其既没有杂散场,也不易受外磁场干扰,能够用于制备超快、保密、高密度和低能耗磁存储器件。然而,制备高结晶质量和化学组分均一的氮化铬单晶块材和薄膜具有挑战性。一方面,氮化铬单晶的合成普遍需要超高温和超高压的极端环境。另一方面,氮空位和氧掺杂都将对氮化铬薄膜材料的物理特性造成影响。因此,对于氮化铬薄膜到底是金属相还是绝缘相,是顺磁相还是反铁磁相,一直有争议。
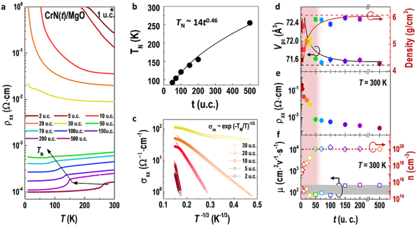
中国科学院物理研究所/北京凝聚态物理国家研究中心博士研究生金桥在特聘研究员郭尔佳的指导下,与研究员金奎娟、谷林、朱涛,南方科技大学助理教授王善民中科院宁波材料技术与工程研究所研究员杨洪新组成研究团队,利用活性氮原子源辅助的脉冲激光沉积技术成功制备出准确化学配比的高结晶质量的CrN薄膜。单原胞层厚度的CrN的高分辨扫描透射电镜图和单晶X射线衍射结果均表明制备的CrN薄膜具有较高的结晶质量(图1)。X射线吸收谱也证实了CrN中的Cr离子保持+3价,没有探测到氮空位,具有准确化学计量比。研究利用磁交换偏置和极化中子反射技术测量了Ta/Co/CrN多层膜,证实了CrN薄膜保持其反铁磁特性。进一步研究表明,与过渡金属氧化物薄膜普遍在5至6原胞层出现电子态转变不同,CrN超薄膜在厚度小于30原胞层时才会发生金属-绝缘体相变,同时伴随着CrN晶胞体积增加、原子密度和载流子浓度急剧下降(图2)。研究发现单原胞层厚度的CrN薄膜仍然现出电阻率为1Ω·cm的良好导电性,该导电薄膜的厚度远低于大多数过渡金属氧化物薄膜的临界厚度,为该材料在制备透明导电电极方面的应用奠定了基础。
科研人员系统研究了薄膜与衬底之间的晶格失配应力对CrN电子态的影响。当薄膜承受张应力时,CrN保持良好的金属性;当对薄膜施加微弱压应力时,CrN发生金属-绝缘体转变,电阻值急剧增加。为去除衬底应力作用,研究利用水溶性Sr3Al2O6薄膜作为牺牲层,在浸泡水溶液后,CrN单晶薄膜从MgO衬底剥离,获得了自支撑氮化物超薄层材料(图3)。该自支撑材料在去除了衬底应力作用后,其电子态从绝缘性恢复为金属性,说明本征应力是诱发电子态转变的关键因素。在实验上,研究利用X射线线偏振谱(图4)证明晶格应力将高效改变晶格场,改变t2g和eg轨道之间的能级劈裂的程度,进而调控CrN中巡游电子的数量。第一性原理计算(图5)结果表明,CrN的间接能隙随着薄膜厚度减小和面内应力增加而增大,该变化趋势与实验观测结果完全一致。
该研究不仅提供了高质量氮化物单晶薄膜的制备方法,而且观测到氮化物的电子态随厚度和应力改变的变化趋势,同时获得了不受衬底应力影响的自支撑氮化物薄膜,为具有相似结构和物性的过渡金属氮化物薄膜的精细能带结构预测、宏观物理特性调控和多功能器件设计提供了重要理论依据和实验参考。相关研究成果以Strain-mediated high conductivity in ultrathin antiferromagnetic metallic nitrides为题,发表在Advanced Materials上。金桥为论文第一作者,王善民、杨洪新、金奎娟和郭尔佳为论文共同通讯作者。
该研究获得物理所先进材料与结构实验室副研究员张庆华、研究员谷林和美国亚利桑那州立大学博士Manuel Roldan在高分辨透射电镜方面的支持,物理所北京散裂中子源靶站谱仪工程中心研究员朱涛在极化中子反射测量方面的支持,高能物理研究所研究员王嘉鸥在X射线吸收谱方面的支持,以及郑州大学物理与电子工程学院教授郭海中在输运测量方面的支持;研究工作得到科技部重点研发计划、国家自然科学基金委员会、北京市科技新星计划、北京市自然科学基金、中科院战略性先导科技专项(B类)等的支持。研究使用的国内大科学装置包括中国散裂中子源多功能中子反射线站、北京正负电子对撞机1W1A和4B9B线站及上海同步辐射光源14B1线站等。
图1.超薄CrN单晶薄膜的结构和磁性表征。(a)CrN晶体结构示意图。(b)单原胞层CrN薄膜的高分辨透射电镜图。50原胞层CrN薄膜的(c)X射线衍射曲线和(d)倒易空间矢量图。(e)Ta/Co/CrN多层膜的极化中子反射谱。(f)Ta/Co/CrN多层膜的密度和磁性随薄膜厚度的分布图。

图2.CrN的电输运特性随厚度的变化规律。(a)厚度从1至500原胞层CrN薄膜的电阻率随温度的变化规律。(b)聂耳温度随薄膜厚度的变化关系。(c)不同厚度CrN薄膜的电导率随T-1/3的变化关系。(d)密度和体积、(e)室温电阻率、(f)迁移率和载流子浓度随CrN薄膜厚度的变化规律。

图3.20原胞层厚度的自支撑CrN薄膜制备和表征。(a)自支撑CrN薄膜制备过程示意图。(b)受应力调制和自支撑CrN薄膜的电阻率-温度变化曲线。(c)受应力调制和自支撑CrN薄膜的氮K边和铬L边的X射线吸收谱。

图4.CrN薄膜中受应力诱导的金属-绝缘体转变。(a)随失配应力变化的室温电阻率。三种应力状态下CrN薄膜的(b)X射线吸收谱和(c)X射线线性偏振谱。

图5.CrN的能带结构随薄膜厚度和面内应力的变化趋势。(a)4至16原胞层CrN薄膜的能带结构演化图。(b)无应力和(c)受2%面内张应力作用的CrN能带图。(d)能隙随CrN厚度的变化关系。(e)无应力和受2%面内张应力的CrN能隙对比。
© 1996 - 中国科学院 版权所有 京ICP备05002857号-1
京公网安备110402500047号 网站标识码bm48000002
地址:北京市西城区三里河路52号 邮编:100864
电话: 86 10 68597114(总机) 86 10 68597289(总值班室)