主要职责
中国科学院贯彻落实党中央关于科技创新的方针政策和决策部署,在履行职责过程中坚持党中央对科技工作的集中统一领导。主要职责是:
一、开展使命导向的自然科学领域基础研究,承担国家重大基础研究、应用基础研究、前沿交叉共性技术研究和引领性颠覆性技术研究任务,打造原始创新策源地。 更多+
院况简介
中国科学院是国家科学技术界最高学术机构、国家科学技术思想库,自然科学基础研究与高技术综合研究的国家战略科技力量。
1949年,伴随着新中国的诞生,中国科学院成立。建院70余年来,中国科学院时刻牢记使命,与科学共进,与祖国同行,以国家富强、人民幸福为己任,人才辈出,硕果累累,为我国科技进步、经济社会发展和国家安全作出了不可替代的重要贡献。 更多+
院领导集体
科技奖励
科技期刊
科技专项
科研进展/ 更多
工作动态/ 更多
工作动态/ 更多
中国科学院学部
中国科学院院部
语音播报
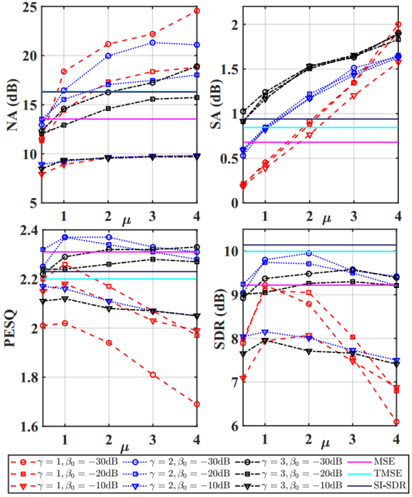
在抑制背景噪声的同时避免引入不自然的失真是语音通讯中的重要课题。目前,基于深度学习的语音增强方法能够有效减少背景噪声成分,但会在噪声失配条件下会引入较多不自然的残差噪声,对语音舒适度造成影响。
近日,中国科学院噪声与振动重点实验室研究生李安冬及其导师郑成诗等提出一种带有残差噪声控制的语音增强方法用于语音通讯,在人为保留较低背景噪声的前提下,以噪声抑制与语音失真最小化为目标进行联合优化,提高语音舒适度。
该研究通过引入多个可调节参数推导出一种广义损失函数,用不同参数组合使增强后的语音进行有效权衡,并通过人为引入较低的背景噪声参与优化有效增强语音的主观听觉质量。实验结果表明,选择合理的参数组合,可使增强后的语音在客观指标与主观评估结果上优于以往的处理结果。许多常用的损失函数均可被视为这种广义损失函数的特殊情况,并用上述方法进行优化。
相关成果发表于Applied Sciences。研究得到国家自然科学基金资助。

不同参数组合的客观指标对比
扫一扫在手机打开当前页
© 1996 - 中国科学院 版权所有 京ICP备05002857号-1
京公网安备110402500047号 网站标识码bm48000002
地址:北京市西城区三里河路52号 邮编:100864
电话: 86 10 68597114(总机) 86 10 68597289(总值班室)








