首页 > 科研进展

抗肺动脉高压候选新药TPN171进入II期临床研究

2019-05-28 上海药物研究所
【字体:

语音播报

  近日,中国科学院上海药物研究所沈敬山、蒋华良、朱维良、许叶春和阿吉艾克拜尔·艾萨研究团队在美国化学会期刊Journal of Medicinal Chemistry 上发表了题为Pharmacokinetics-Driven Optimization of 4(3H)-Pyrimidinones as Phosphodiesteras Type 5 Inhibitors Leading to TPN171, a Clinical Candidate for the Treatment of Pulmonary Arterial Hypertension 的封面文章。文章报道了研究人员从肺动脉高压(PAH)治疗的临床需求出发,经过以药代动力学性质优化为导向的精细“结构微调”,最终发现并确定候选药物TPN171的过程。

  PAH是一类肺血管疾病,其主要病理生理学特征是静息状态下肺动脉压力升高,患者由于缺氧导致嘴唇呈现蓝紫色,故称“蓝嘴唇”。如不积极治疗,大部分患者会在2至3年内死于右心衰竭,因此该疾病也被称为“心血管系统的恶性肿瘤”。据西方国家流行病学统计,PAH发病率和患病率分别为5-10/百万人年和15-60/百万,约半数为特发性肺动脉高压、遗传性PAH或药物相关PAH。在欧美国家PAH属于罕见病,在我国特发性肺动脉高压列入了第一批罕见病目录。

  PDE5抑制剂为口服一线抗PAH治疗药物,且其与内皮素受体拮抗剂的联合用药是应用最广泛的PAH药物治疗方案,但是国内尚未有PDE5抑制剂被批准用于PAH的治疗,而国外已经批准上市用于PAH治疗的PDE5抑制剂西地那非和他达拉非存在选择性不好而导致的临床副作用及药代性质不佳等缺陷。由于PAH是一种严重的慢性疾病,患者需要长期按时服用药物,亟须开发副作用更小且可以口服每天一次的新一代PDE5抑制剂药物,以改善患者的用药依从性。

  长期以来,中药和民族药为当今生命科学和医学发展提供了取之不尽、用之不竭的创新源泉。TPN171研究团队从上海药物所传统中药与天然产物化学的历史积淀中获取创新灵感,在中药淫羊藿的提取物中发现了具有较高磷酸二酯酶(PDE5)抑制活性的黄酮类化合物1,并以此天然产物为先导结构,通过对B环和C环进行骨架跃迁和结构优化后,得到了先导化合物2,其对PDE6的选择性更高(比西地那非高100倍以上)。

  随后,结合结构生物学、计算化学的数据解析与合理设计,对嘧啶酮环5位和6位的取代基团、苯环2位和5位取代基团进行了详细的研究,发现一系列具有较强PDE5抑制活性的单环嘧啶酮类化合物,其中3相对于PDE6和PDE11表现出了较好的选择性。在此过程中,团队成员对嘧啶酮5位卤素原子与蛋白氨基酸残基及其周围水分子之间的相互作用进行了深入的理论模拟与结构生物学研究,证明了卤键作为一种与氢键类似的分子间作用力可用于药物分子设计与结构优化。

  然而,化合物3在大鼠体内半衰期仅为1.29小时,预计不能满足一天服药一次的要求。TPN171研究团队开始了以改善药物代谢动力学性质为目的的结构优化工作。计算化学及结构生物学研究发现化合物3的PDE5抑制活性主要与结构中的嘧啶酮联苯结构相关,而1-甲基-4-磺酰基哌嗪结构伸向结合口袋外,与周围的氨基酸残基的相互作用很弱。为了优化药物代谢动力学性质,研究团队将结构优化的重点集中于磺酰基哌嗪结构,以尽量减少结构优化对活性的影响。在评价了不同取代基团对化合物活性、PDE5/PDE6选择性、肝微粒体代谢稳定性及动物体内药效的影响后,最终确定了TPN171作为候选药物。

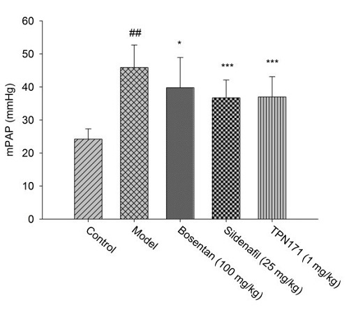
  TPN171在体外活性测试中表现出了比西地那非和他达拉非更强的PDE5抑制活性(IC50=0.62nM),相对于PDE6(与视觉副作用相关)的选择性达到32倍,优于西地那非(8倍),相对于PDE11选择性达到1610倍,显著优于他达拉非(9倍)。在大鼠PK研究中,TPN171的代谢性质(PO,t1/2=2.82h)要优于西地那非(PO,t1/2=0.65h),在犬中TPN171的t1/2达到4.89h,表现出较好的药代动力学性质。口服TPN171可显著降低野百合碱诱导的PAH大鼠的平均肺动脉压(mPAP),药效剂量明显低于西地那非。

  TPN171已在12个国家/地区申请专利,并获得中、欧、美、日等8个国家/地区授权。该药被评为2016年度中科院科技成果转化亮点工作。TPN171的研发过程中还得到上海药物所药物安全评价研究中心研究员任进、药物代谢中心研究员钟大放和陈笑艳、浙江大学药学院教授杨波等课题组的大力支持,以及上海特化医药科技有限公司的大力支持。

  TPN171已经完成在健康志愿者中的I期临床研究,结果表明TPN171安全性及耐受性良好,药代性质也满足每日口服一次的临床需求。目前上海药物所正在与合作企业苏州旺山旺水生物医药有限公司全力推进TPN171在PAH患者中的II、III期临床试验。

  论文链接

 

TPN171论文入选Journal of Medicinal Chemistry 杂志封面

 

TPN171可显著降低PAH大鼠的平均肺动脉压

打印 责任编辑:叶瑞优

扫一扫在手机打开当前页

© 1996 - 中国科学院 版权所有 京ICP备05002857号-1 京公网安备110402500047号 网站标识码bm48000002

地址:北京市西城区三里河路52号 邮编:100864

电话: 86 10 68597114(总机) 86 10 68597289(总值班室)