语音播报

“拉索”以超过250倍标准偏差的高显著水平观测到了伽马射线暴GRB 221009A的爆发。中科院高能所 供图

“拉索”测量得到的GRB221009A在5个时间段的本征谱与观测谱,约在2千亿到7万亿电子伏特之间。中科院高能所 供图

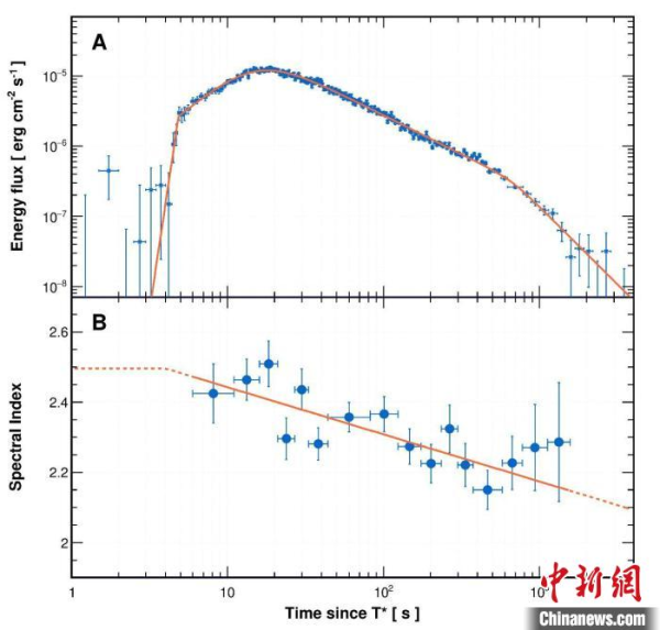
“拉索”观测到的3千亿到5万亿电子伏特范围的GRB221009A余辉辐射的光变过程与能谱指数演化等。中科院高能所 供图

“拉索”的水切伦科夫探测器阵列示意图。中科院高能所 供图

高海拔宇宙线观测站(“拉索”)的构成与布局示意图。中科院高能所 供图

航拍大科学装置“拉索”全景。中科院高能所 供图

大科学装置“拉索”的探测器阵列。中新社记者 孙自法 摄

大科学装置“拉索”的探测器阵列。中新社记者 孙自法 摄
距离地球约24亿光年的宇宙深处,一颗比太阳重20多倍的“超级太阳”大质量恒星燃烧完其核聚变燃料,瞬间坍缩引发巨大的爆炸火球,发出了一个持续几百秒的巨大“宇宙烟花”——伽马射线暴(GRB,也简称伽马暴)。
这场“宇宙烟花”火球与星际物质碰撞产生的大量万亿电子伏特高能伽马光子穿过茫茫宇宙,径直飞向地球,于北京时间2022年10月9日21时20分50秒,抵达中国高海拔宇宙线观测站(英文缩写LHAASO,中文昵称“拉索”)的视场范围,6万多个伽马光子被“拉索”收集到。经过数月持续分析研究,“拉索”国际合作组的科学家们终于揭开这场大质量恒星爆炸事件的神秘面纱,在世界上首次制作完成“宇宙烟花”完整全过程纪录片。
由“拉索”国际合作组完成、创下多项世界纪录的这一“宇宙烟花”成果论文,以“极亮伽马射线暴221009A窄喷流的万亿电子伏特余辉”为题,北京时间6月9日凌晨在国际著名学术期刊《科学》(Science)上线发表。
首次精确测量高能光子爆发完整过程
“拉索”项目首席科学家、“拉索”国际合作组发言人、中国科学院高能物理研究所(中科院高能所)研究员曹臻介绍说,“拉索”收集到的信号细节表明,探测到的光子来源于主爆之后的“后随爆炸”。伽马暴事件的“主爆”,也称为瞬时辐射,是初始阶段的巨大的爆炸,表现为强烈的低能的伽马射线辐射;接近于光速的爆炸物与周围环境气体碰撞则产生“后随爆炸”,也称为余辉。“‘拉索’首次精确地观测了‘后随爆炸’的完整过程,记录了万亿电子伏特伽马射线流量增强和衰减的整个阶段”。
凭借对上万个伽马暴的观测,科学家们已经建立被誉为完美的、可深信不疑的理论模型。“拉索”实现了其他实验没有达到的高能量波段光变过程的教科书式的完整观测,也为理论模型的精确检验提供了实验基础。“鉴于此次爆发千年不遇的稀缺性,这个观测结果预期将在今后几十甚至上百年内将保持最佳。”曹臻说。
首次测量到高能光子流量快速增强过程
“在‘后随爆炸’过程中,‘拉索’首次探测到光子流量的极速增强。”论文通讯作者之一、中科院高能所研究员姚志国指出,不到两秒的时间内流量增强了100多倍,之后的缓慢增长行为却符合后随爆炸的预期特征。
早期如此快速的增强现象超出了以往理论模型的预期,这究竟存在着什么样的机制?“拉索”此次发表的观测结果,将会引发科学界对伽马暴能量注入、光子吸收、粒子加速等机制的深入探讨。
发现221009A伽马暴历史最亮秘密
论文通讯作者之一、南京大学教授王祥玉认为,“拉索”观测表明,高能辐射在起爆之后不到10分钟的某个时刻,亮度突然快速减弱了。“这可解释为爆炸后的抛射物是喷流状的结构,当辐射张角扩展到了喷流的边缘时造成亮度快速下降”。
由于这个亮度转折发生时间极早,由此测出了喷流的张角也极小,仅0.8度。这是迄今所知最小张角的喷流,意味着观测到的实际上是一个典型内亮外暗喷流的最明亮的核心。
论文通讯作者之一、中国科学技术大学教授戴子高表示,“正是由于观测者碰巧正对喷流最明亮的核心,自然地解释了为什么这个伽马暴是历史上最亮的,也解释了为什么这样的事件极其罕见”。
将为伽马暴研究提供一个全新视角
美国艺术与科学院院士、伽马射线暴火球模型奠基人彼得·梅斯扎罗斯(Peter Meszaros)教授评价称,得益于“拉索”巨大的观测面积和先进的探测器技术,这是首次探测到万亿电子伏特(TeV)能区的早期余辉光变曲线,光变曲线显示出减速特征,还观测到光变曲线的截断现象,相关计算结果与其他伽马射线暴一致。
北京师范大学天文系高鹤教授指出,GRB221009A是有记录以来最亮的伽马射线暴,科学家推断其被地球探测到的概率是万年一次,而这一次极其幸运地恰好落在“拉索”的最佳观测范围内。“拉索”不负众望,首次在TeV能区给出伽马暴完整的光变曲线与能谱,这一观测结果大大增进人类对伽马暴辐射机制以及喷流结构等方面的理解。
《科学》审稿专家表示,“拉索”国际合作组在TeV能区对伽马射线暴最早“余辉”进行非常重要的、突破性的观测,这是一项非凡的实验结果,值得迅速发表。通过这个“千年一遇”的事件,将为伽马暴研究提供一个全新的视角。
最高能段高统计量观测将揭开更多谜团
论文通讯作者之一、中科院高能所研究员查敏说,在这个“宇宙烟花”持续的几百秒内,“拉索”记录到的光子数超过了过去几年对“标准烛光”蟹状星云观测积累。若把选择条件降到最低,光子数可以达到10万。对比同能区其他实验装置,甚至是专门设计来追踪伽马暴的设备,它们测到的光子数目仅在千个以下的水平,且都只测到大质量恒星爆炸过后60秒以晚的“余辉”。
“截至当下,本次大质量恒星爆炸事件引发的‘宇宙烟花’还有其他的许多新发现,科学家们还在不懈地深耕‘拉索’的数据,力图揭示更多的奥秘,敬请等待‘拉索’的后续数据分析成果。”曹臻对“拉索”下一阶段成果给出乐观预期。
中国天地联合观测和数据分析全面展开
中科院高能所“拉索”项目团队科普介绍说,伽马暴是宇宙大爆炸之后最剧烈的天体爆炸现象,指来自天空中某一方向的伽马射线突然增强的闪烁现象。伽马暴短至千分之一秒,长则数小时。短时间的伽马暴是由两颗邻近的致密星体(黑洞或中子星)并合产生,而长时间的伽马暴是由巨大恒星(超级恒星)在燃料耗尽时塌缩爆炸产生。
北京时间2022年10月9日21时16分59.59秒,费米卫星(Fermi)收到预警首先探测到一个异常明亮的伽马暴,根据国际惯例命名为GRB221009A,后续国际上几十个空间和地面探测器都对此伽马暴进行观测。该伽马暴为长暴,其亮度比以往最亮伽马暴还要高几十倍以上,过高的光子流量使得多个国际实验的探测器发生饱和而“爆表”。
中国“拉索”、“高能爆发探索者”卫星(HEBS)和“慧眼”卫星(Insight-HXMT)同时探测到GRB221009A这个伽马暴,并实现跨越11个量级的宽能量范围天地协同观测。此前,中国卫星探测该伽马暴的预印本成果已经发布。中科院高能所透露,中国后续的天地联合数据分析已经全面展开,更多观测研究成果也将陆续发表。
© 1996 - 中国科学院 版权所有 京ICP备05002857号-1
京公网安备110402500047号 网站标识码bm48000002
地址:北京市西城区三里河路52号 邮编:100864
电话: 86 10 68597114(总机) 86 10 68597289(总值班室)