主要职责
中国科学院贯彻落实党中央关于科技创新的方针政策和决策部署,在履行职责过程中坚持党中央对科技工作的集中统一领导。主要职责是:
一、开展使命导向的自然科学领域基础研究,承担国家重大基础研究、应用基础研究、前沿交叉共性技术研究和引领性颠覆性技术研究任务,打造原始创新策源地。 更多+
院况简介
中国科学院是国家科学技术界最高学术机构、国家科学技术思想库,自然科学基础研究与高技术综合研究的国家战略科技力量。
1949年,伴随着新中国的诞生,中国科学院成立。建院70余年来,中国科学院时刻牢记使命,与科学共进,与祖国同行,以国家富强、人民幸福为己任,人才辈出,硕果累累,为我国科技进步、经济社会发展和国家安全作出了不可替代的重要贡献。 更多+
院领导集体
科技奖励
科技期刊
科技专项
科研进展/ 更多
工作动态/ 更多
工作动态/ 更多
中国科学院学部
中国科学院院部
语音播报

中科院高能所供图
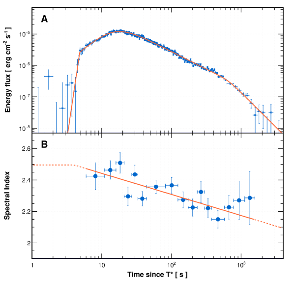
基于高海拔宇宙线观测站“拉索”(LHAASO)的观测数据,我国科研人员首次精确刻画大质量恒星死亡瞬间万亿电子伏特伽马射线爆发全过程,首次观测到高能光子流量的快速增强过程。相关研究成果6月9日在线发表于《科学》杂志。
大约20亿年前,一颗比太阳重20多倍的大质量恒星,在燃烧完其核聚变燃料后,坍缩爆炸发出一个巨大火球。火球与星际物质碰撞产生的大量万亿电子伏特高能伽马光子穿过茫茫宇宙,径直飞向地球。
2022年10月9日21时20分50秒,这些伽马光子在飞行了20亿年以后,抵达“拉索”的视场范围。其中,6万多个伽马光子被“拉索”收集到。经过几个月的数据分析,科学家们终于揭开了这场爆炸事件的面纱。
数据分析表明,“拉索”探测到的光子来源于伽马射线暴事件主爆之后的后随爆炸。伽马射线暴事件的主爆,也称为瞬时辐射,是初始阶段的巨大的爆炸,表现为强烈的低能的伽马射线辐射;同时,接近于光速的爆炸物也会与周围环境气体碰撞产生“后随爆炸”,这被称为余辉。
“‘拉索’首次精确地观测了‘后随爆炸’的完整过程,记录了万亿电子伏特伽马射线流量增强和衰减的整个阶段,实现了其他实验没有达到的高能量波段光变过程的教科书式的完整观测。”中科院高能所研究员、“拉索”首席科学家曹臻说。
更重要的是,在“后随爆炸”过程中,“拉索”首次探测到光子流量的极速增强。“不到两秒的时间内,光子流量增强了100多倍。这一现象超出了以往理论模型的预期。”论文通讯作者之一,中国科学院高能物理研究所研究员姚志国说,我们相信这一观测结果发布后,必将引发科学界深入探究该现象背后的驱动机制。
此外,“拉索”还发现了一个有趣的现象:高能辐射在爆炸发生之后不到10分钟的某个时刻,亮度突然快速减弱。“这个亮度转折发生的时间太早了,这意味着‘拉索’ 观测到的实际上是一个典型内亮外暗喷流的最明亮的核心。”论文通讯作者之一、南京大学教授王祥玉说。
对此,通讯作者之一、中国科学技术大学教授戴子高补充解释道:“正是由于‘拉索’碰巧正对着喷流最明亮的核心,这就解释了为什么这个伽马射线暴是历史上最亮的,也解释了为什么这样的事件极其罕见。”
“鉴于此次爆发千年不遇的稀缺性,这个观测结果预期将在今后几十甚至上百年内将保持最佳。”曹臻说,截至目前,科学家们还在不懈地深耕本次伽马射线暴的数据,力图揭示伽马射线暴更多的奥秘。
扫一扫在手机打开当前页
© 1996 - 中国科学院 版权所有 京ICP备05002857号-1
京公网安备110402500047号 网站标识码bm48000002
地址:北京市西城区三里河路52号 邮编:100864
电话: 86 10 68597114(总机) 86 10 68597289(总值班室)








