主要职责
中国科学院贯彻落实党中央关于科技创新的方针政策和决策部署,在履行职责过程中坚持党中央对科技工作的集中统一领导。主要职责是:
一、开展使命导向的自然科学领域基础研究,承担国家重大基础研究、应用基础研究、前沿交叉共性技术研究和引领性颠覆性技术研究任务,打造原始创新策源地。 更多+
院况简介
中国科学院是国家科学技术界最高学术机构、国家科学技术思想库,自然科学基础研究与高技术综合研究的国家战略科技力量。
1949年,伴随着新中国的诞生,中国科学院成立。建院70余年来,中国科学院时刻牢记使命,与科学共进,与祖国同行,以国家富强、人民幸福为己任,人才辈出,硕果累累,为我国科技进步、经济社会发展和国家安全作出了不可替代的重要贡献。 更多+
院领导集体
科技奖励
科技期刊
科技专项
科研进展/ 更多
工作动态/ 更多
工作动态/ 更多
中国科学院学部
中国科学院院部
语音播报

郭守敬望远镜

郭守敬望远镜

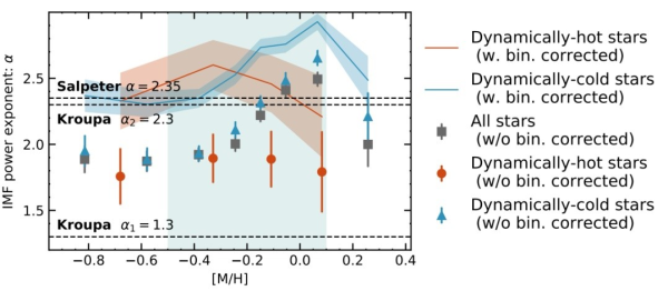
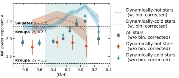
本成果验证初始质量函数变化的直接证据图

前期有关恒星初始质量函数的成果图1

前期有关恒星初始质量函数成果图2
中国科学院国家天文台研究员刘超带领的研究团队取得了一项重大研究成果。团队通过郭守敬望远镜的观测数据,结合欧洲空间局盖亚卫星数据发现,天体物理学中非常重要的基础理论“恒星初始质量分布规律”会随着恒星金属元素含量和年龄发生显著变化,挑战了恒星初始质量分布规律不变的经典理论,刷新了人类对这一基本概念的认知。1月19日,相关成果在《自然》杂志发表。
“在整个天体物理研究中,恒星初始质量函数是现代天文学中非常基础的物理概念,对许多关键天体物理学问题的研究起着至关重要的作用。”论文第一作者、国家天文台博士研究生李佳东解释道,广袤宇宙的千亿星系中,无时无刻不在诞生着新的恒星,同一恒星形成区会批量形成许多不同质量的新生恒星。而恒星初始质量函数描述了一群恒星在刚刚诞生时,不同质量的恒星所占的比例。
“恒星初始质量函数在宇宙各处及各个演化阶段是普适不变的”,这一假设几乎是天体物理教科书中的经典假设,在诸多天体物理研究领域广泛应用。但近年来,该假设逐渐被天文学家的观测动摇。“一些迹象显示,在恒星形成活跃的环境中大质量恒星的比例更高,这意味着恒星初始质量函数可能不是普适的,但我们需要在银河系中找到更为直接有力的观测证据。”论文合作者、南京大学天文系教授张智昱说。
随着郭守敬望远镜、盖亚卫星等国内外大型天文设施投入观测运行,我国天文学家发现了恒星初始质量函数变化的直接证据。研究团队发挥郭守敬望远镜大样本光谱数据优势,筛选出目前最精细的9万多颗太阳邻域的恒星样本,并获取了每颗恒星的金属元素含量和质量。结合盖亚卫星观测数据,研究人员首次通过最直观的恒星计数法——“数星星”,对具有不同金属元素含量和年龄的恒星进行统计,从观测角度直接获取了几乎不依赖于任何模型的恒星初始质量函数。
研究团队观测到年轻的小质量恒星数量比例明显高于年老的恒星,并发现金属含量越高的恒星家族中,小质量恒星数量比例也越多。这是天文学家首次如此清晰地观测到恒星初始质量分布规律随恒星金属元素含量和年龄发生显著变化,直接导致恒星初始质量分布规律在宇宙中普适不变的基本假设不再成立。这一突破性成果将对天体物理学多个领域及前沿问题的研究产生影响,甚至,如此复杂变化的恒星初始质量函数对恒星形成理论也提出了严峻的挑战。
恒星初始质量函数领域的国际权威、德国波恩大学教授帕弗尔·库鲁帕(Pavel Kroupa)评价该成果称:“这项研究基于大样本观测获取的高质量数据,揭示了银河系中恒星初始质量函数与银河系演化历史和环境相关。这对于深入理解银河系中不同环境不同时间恒星形成的性质非常重要。”
研究团队表示,这一原创性成果是我国重大科技基础设施郭守敬望远镜在前沿基础研究取得的又一项突破性进展。未来,我国将发射巡天空间望远镜,将助力天文学家在银河系更深远区域及近邻星系中进一步验证这一重大发现,为更深入理解恒星初始质量函数和恒星形成的物理过程提供更加丰富的观测数据。
© 1996 - 中国科学院 版权所有 京ICP备05002857号-1
京公网安备110402500047号 网站标识码bm48000002
地址:北京市西城区三里河路52号 邮编:100864
电话: 86 10 68597114(总机) 86 10 68597289(总值班室)








