
地质地球所揭示非贯通节理组合对岩石剪切力学性质及能量演化的影响
来源:地质与地球物理研究所【字号:大 中 小】
工程岩体失稳通常由于非贯通节理的扩展聚合最终导致的剪切破坏,而能量驱动下的状态失稳是岩体破坏的根本原因。目前,基于直接剪切试验的含非贯通节理岩石的力学行为研究集中在含有一条或两条节理的简单样品上,忽略了天然岩体中的非贯通节理通常以不同数量和几何形状的多种组合出现,与复杂的实际条件存在较大差异。因此,研究含多种组合形式的非贯通节理岩石的剪切力学性质并分析其能量的演化过程,有助于更全面、更直观理解含非贯通节理岩体的剪切破坏过程,在岩土工程和工程地质中具有重要意义。
中国科学院地质与地球物理研究所页岩气与地质工程院重点实验室博士研究生台大平在导师、研究员祁生文的指导下,基于类岩石材料的室内直剪试验结果,使用颗粒流离散元PFC3D构建了一系列含有多种组合形式非贯通节理的岩石模型(BPM)并开展了直接剪切试验的数值模拟,从微裂纹扩展和能量演化的角度探究了节理排数和节理倾角对岩石应力应变特性和破坏模式的影响。
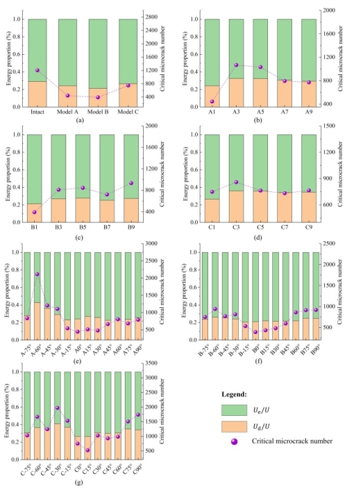
结果表明,含非贯通节理岩体破坏主要由于剪切-张拉型微裂纹(ST cracks)的扩展贯通,且对于“两列多排型”分布的节理岩石模型(Type B和Type C),当节理排数Nr大于1时,岩石的剪切破坏区域不随着Nr的增加而发生变化(图1、2)。同时,节理会显著增加了模型在峰后的能量耗散,但对峰前弹性应变能与耗散能的在总能量的占比几乎没有影响(图3)。在剪切过程中,摩擦消耗了大部分能量,而动能消耗只占总能量的不到1%。此外,峰值弹性应变能的变化趋势与峰值剪切位移保持一致。微裂纹的扩展和累积直接影响模型的能量耗散,且临界微裂纹的累积数量与破坏时的临界耗散能量之间存在显著的线性关系,在相同倾角下,当节理倾向与剪切方向相反时,模型在峰值破坏时更易积累较多的微裂纹,导致更多的能量耗散(图4)。
该研究从微裂纹扩展和能量演化的角度定量分析了多种非贯通节理组合对岩石应力应变特性和破坏模式的影响,为剖析含非贯通节理岩体的剪切破坏过程提供了新视角。相关研究成果发表在Journal of Rock Mechanics and Geotechnical Engineering上。研究工作得到国家自然科学基金国家杰出青年科学基金项目和第二次青藏高原综合科学考察研究等的支持。

图1.含水平多排节理的岩石剪切破坏时的微裂纹扩展形态与位移场分布

图2.含水平多排节理的岩石剪切破坏时的典型宏观裂纹形态

图3.剪切过程的能量占比变化

图4.剪切破坏时临界微裂纹数量与临界耗散能占比对比
(责任编辑:侯茜)
© 1996 - 中国科学院 版权所有 联系我们 地址:北京市三里河路52号 邮编:100864
京ICP备05002857号-1
京公网安备110402500047号 网站标识码bm48000002