English | 繁体 | RSS | 网站地图 | 收藏 | 邮箱 | 联系我们
首页 新闻 机构 科研 院士 人才 教育 合作交流 科学普及 出版 信息公开 专题 访谈 视频 会议 党建 文化
  您现在的位置: 首页 > 科研 > 科研进展
工程热物理所相变微胶囊粉体传热研究取得进展
  文章来源:工程热物理研究所 发布时间:2014-11-17 【字号: 小  中  大   

  微胶囊化可以将功能物质封装转变成无数微小工作单元,可使其具有特殊性质和用途,大大扩展了各种材料的使用领域和场合。随着高分子科学和技术的进步,微胶囊的制备方法也得到了长足的发展,多种多样的微胶囊逐渐开发出来,在药物控制释放、生物制品、涂料、阻燃剂、纺织、感光材料以及相变材料等领域得到了广泛应用。

  随着能源危机日益加剧,如何节能和实现能源再生及回收利用已成为亟待解决的问题。利用相变材料的相变潜热进行能量的储存(蓄冷、蓄热)是一项新型的节能技术,它可以解决能源的需求与供给之间在时间和空间上的不匹配,实现对能源进行高效管理。将微胶囊技术与相变储能这一理念结合,制备相变储能微胶囊,利用先进的测量技术精确测量相变微胶囊的热物性参数,结合理论分析揭示其传蓄热机理,是解决这一问题的有效途径及基础。对于相变微胶囊粉体样品,可以假定为是相变微胶囊颗粒分散于空气中的复合材料。

  目前对于复合材料的有效热导率计算方法主要有并联热阻法、串联热阻法、Maxwell模型及Bruggman模型。中国科学院工程热物理研究所传热传质研究中心科研人员以脲醛树脂为壳材,石蜡为芯材,采用原位聚合法制备的相变微胶囊为样品,采用谐波探测技术测量得到的有效热导率为依据,通过分析样品的传热过程,建立相应的有效热导率理论模型。

  对于密度为110 g/L,壳芯比分别为17/83的样品,分别采用并联模型、串联模型、Maxwell模型、Bruggman模型计算样品有效热导率及测量值。测量表明,使用并联计算的结果最大,串联结果最小,其他计算结果均处于这两者之间。这是因为Maxwell模型是考虑少量颗粒分散于流体中,忽略了颗粒间的相互传热,因此其计算结果接近并联计算结果,远大于测量值。相对于Maxwell模型,Bruggman模型添加了颗粒间的相互作用,其计算结果整体小于Maxwell模型,更接近测量值,但是该模型的计算结果仍然远大于测量值。

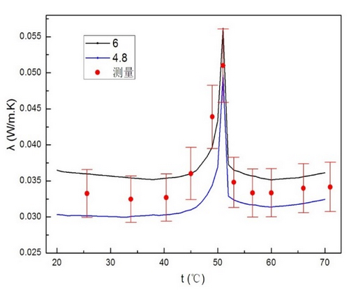
  将相变微胶囊颗粒假设为一个均质复合材料,样品中由材料比热、密度、杨氏模量(弹性模量)决定的、与纵波声速有关的无量纲常数对相变微胶囊粉体有效热导率有很大影响。研究人员假定测量误差为10%,对该影响因素取不同值进行计算,发现当该值处于4.86之间,采用上式计算的结果处于测量误差范围内,如下图所示。

  由图可见,由于受到脲醛树脂壳材、石蜡芯材及微胶囊间空气的影响,随着样品温度的升高,其有效热导率在相变前略有下降,相变后略有升高,在相变温度区间内出现极大值,该极值对应的温度与石蜡核材的相变温度峰值温度一致。与测量结果相比,各种理论模型计算结果的相变区间均较窄。这是由于测量时采用的PID温控系统是一种超调控制方法,虽然设定的恒温温度低于样品的相变温度,但由于超调,靠近容器壁面的部分样品已经发生了相变,而样品导热性能相对较差,在PID温控调节过程中不能及时释放多吸收的热量,导致有效热导率的测量值高于理论计算值。

  上述工作得到了国家自然科学基金重点项目(5110615151336009)、国家重点基础研究发展计划(“973”)的支持,相关成果已在2014工程热物理年会传热传质分会发表。

 

相变微胶囊多相耦合传热计算结果

  打印本页 关闭本页
© 1996 - 中国科学院 版权所有 京ICP备05002857号  京公网安备110402500047号  联系我们
地址:北京市三里河路52号 邮编:100864