通过“节流”来提高能源使用效率,是在现有能源结构和使用模式状态下,解决能源紧缺问题最有效、直接、现实的途径,而开发新型高效智能微纳米热调控材料对于大幅度提高国民经济各领域的节能效率,具有重大的现实意义。近年来,微纳米结构对于材料热物理性质的显著影响已经得到证实和广泛关注,进一步揭示微纳尺度下的热物理规律,对于指导高效节能材料的设计合成至关重要。目前人们对在微纳米尺度上热传递的表征和基本规律认识尚不完善,严重阻碍了新型高效智能微纳米材料的设计和开发。基于此背景,研究新型高效智能微纳米材料热调控的方法显得日益迫切。
高强度聚甲基丙烯酰亚胺(Polymethacrylimide, PMI)泡沫作为一种新型高效智能微纳米材料一直受到了关注,因其优良的耐高温及隔热特性,常作为树脂基复合材料三明治夹层结构材料,在风力发电机叶片,飞机、直升机机翼、大型船舶、雷达天线罩等领域有广泛的用途。新一代通过分子剪裁和重组等关键技术制备的高强度PMI泡沫实现了高强度(7.5 MPa)、高模量及高耐温(230 ℃)性能。然而,关于其热学性能的调控还没有形成理论,阻碍了对其结构的优化设计及隔热性能的进一步提升。
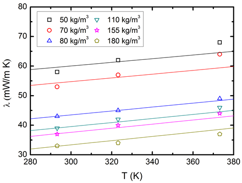
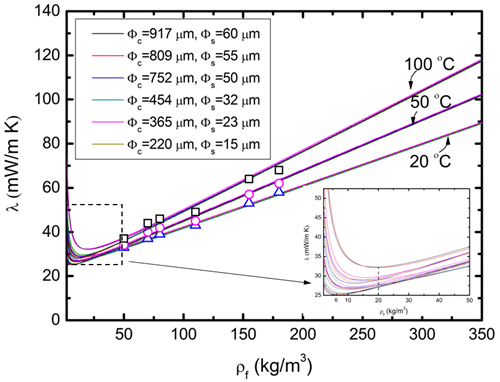
近日,中国科学院工程热物理研究所传热传质研究中心科研人员研究出高强度PMI泡沫的热输运性能与微观结构的定量表述关系。PMI泡沫微观下的形貌可以比拟于蜂窝状的闭孔类五边形十二面体结构(见图1)。这种形貌结构的直接结果是PMI泡沫的热输运主要由三种模式决定:固相热传导、气相热传导和热辐射。科研人员建立了针对这种微观形貌结构的等效热导率计算模型,并与实验表征的一系列具有不同表观密度的高强度PMI泡沫的等效热导率进行了比较。研究获得了一系列重要结果:1.该模型可以精确描述此类闭孔类五边形十二面体泡沫结构的热导率,气相热传导主导了泡沫的热输运,其次是固相热传导,热辐射的贡献最小;2.与结构参数(壁面厚度,隔断直径,单元直径)相比,密度在影响PMI泡沫热输运方面起到了决定性的作用(图2所示)。对于固定几何尺寸的PMI泡沫,其有效热导率可通过调整至最佳密度而得到进一步的优化;3.热导率随温度成线性增长的趋势(图3所示),这是因为主导热输运的气相热导率随温度成线性增长。该计算模型能为高强度PMI泡沫的热调控提供理论指导。
上述工作得到了国家自然科学基金项目、国家重点基础研究发展计划(“973”)的支持。研究成果已在热物性研究领域的国际杂志International Journal of Thermophysics上发表。

图1 不同密度的高强度PMI泡沫SEM图:(a) 50kg·m-3,(b)70 kg·m-3, (c) 80kg·m-3,(d) 110 kg·m-3,(e) 155 kg·m-3,(f) 180kg·m-3
图2 高强度PMI泡沫材料等效热导率随密度变化的“构效关系”
图3 高强度PMI泡沫材料等效热导率随温度变化规律