气候变化常常导致森林群落组成以及物种分布范围、物候、遗传多样性和遗传结构的改变。研究气候因子如何影响自然群体的遗传多样性和遗传结构对了解森林树种应对全球气候变化具有重要作用。栲树(Castanopsis fargesii)是我国亚热带常绿阔叶林最重要的建群树种之一。我国亚热带地区存在明显的南北向温度差异和东西向降水差异,这种温度和降水的空间异质性预期对栲树自然群体造成强烈的选择压力,进而驱动栲树群体的适应性分化。
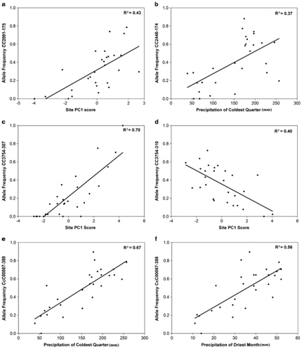
中国科学院华南植物园植物科学研究中心副研究员孙晔指导硕士研究生李春利用EST-SSR (expressed sequence tag-derived simple sequence repeat) 分子标记对栲树自然群体适应性分化进行了大格局的取样研究。通过群体遗传学分析来寻找选择作用留下的遗传印记,并进一步利用气候因子和等位基因频率的关联分析来验证温度和降水梯度对栲树群体遗传结构的影响。研究结果发现温度和降水,特别是最干旱月份、最干旱季度和最冷季度降水对栲树群体遗传结构有重要影响,尽管绝大多数的遗传位点表现为选择中性,但4个EST-SSR位点明显受到歧化选择的影响。说明基因交流在栲树自然群体中普遍发生,歧化选择只作用于基因组特定区段。
该研究得到国家自然科学基金(30871959)等的资助。该研究成果以Footprints of divergent selection in natural populations of Castanopsis fargesii (Fagaceae) 为题已在线发表在国际科学期刊Heredity上。
文章链接

气候变异和等位基因频率间的关联