自30余年前提出用聚合物先驱体法制备先进陶瓷材料以来,因其耐高温、隔热、质轻、耐腐蚀等特点,SiOC大孔陶瓷已广泛用于高温传感器、高温/腐蚀环境用MEMS、锂电池电极材料和微型电热塞等领域。随着SiOC大孔陶瓷逐渐应用于高温热防护领域,其热学特性,如热稳定性和传热能力等会是一个重要问题。基于此背景,迫切需要研究SiOC大孔陶瓷的隔热性能及有助于其优化设计的理论。
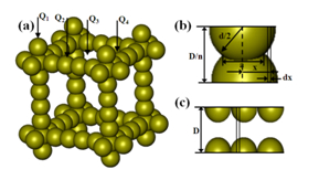
近日,中国科学院工程热物理研究所传热传质研究中心科研人员研究出由聚合物先驱体法制备的SiOC大孔陶瓷的传热性能存在“构效关系”。SiOC大孔陶瓷室温下表观热导率在0.041 W · m-1 · K-1 ~ 0.078 W · m-1 · K-1的量值,该隔热性能可与已报道的铝气凝胶和碳气凝胶相比拟。针对SiOC大孔陶瓷的实际微观结构,提出了描述其热输运的立方阵列交叉纳米球模型(如图1所示)并发展了预测有效热导率的理论公式。研究进一步揭示了相同热解温度形成的SiOC大孔陶瓷的表观热导率主要受SiOC固相体积分数的影响,而经不同热解温度形成的SiOC大孔陶瓷,其微观结构参数,尤其是相邻颗粒间接触长度与颗粒直径的比值a/d是影响其热输运的另一个关键因素(如图2所示)。
上述工作得到了国家重点基础研究发展计划(“973”计划)、国家自然科学基金项目的支持。研究成果已在热物性研究领域国际杂志International Journal of Thermophysics上发表,并被加拿大的Advances in Engineering网站以Featured Article的形式转载报道。
文章链接

图1 SiOC大孔陶瓷几何结构模型及传热分析

图2 不同热解温度(1000 ºC 、650 ºC)制备的SiOC大孔陶瓷室温表观热导率随密度变化关系

图3 高温热防护用多孔SiOC陶瓷的热设计