石墨烯具有独特的线性色散关系、无质量狄拉克费米子特性和弱的自旋轨道耦合,是研究电子、自旋输运的理想二维晶体材料。低的载流子浓度和弱的电子屏蔽使得石墨烯中存在较强的电子关联,因此,二维石墨烯通过整数、分数量子霍尔效应测试可以观察到电子关联相互作用。然而,这些观察要求较苛刻的实验条件,如较低的温度,并采用高质量、高迁移率的石墨烯样品。此时,在电子-声子散射和无序散射被抑制的条件下有助观察电子-电子相互作用。
中国科学院苏州纳米技术与纳米仿生研究所纳米器件与应用重点实验室刘立伟团队与中科院物理研究所吕力团队合作,提出了一种新的不对称的磁性电极石墨烯三明治垂直结构器件。其新奇之处在于它具有水平和垂直通道,实现了在较高温度条件下观察到弱局域化和电子-电子相互作用,并得出电子-电子相互作用为主要的退相干机制。此外,在采用磁场平行器件样品时,研究人员还观察到了自旋阀效应。这些发现对于在较高温度研究电子关联和自旋输运具有重要意义。相关结果已发表于Applied Physics Letters 104, 153114 (2014)。
在不对称Ni/graphene/Co垂直自旋输运器件中,由于磁性电极易磁化方向在电极平面内,当磁场施加在垂直电极平面的时候,即可观察到弱局域化效应和电子-电子关联。由于垂直结构具有较短的电子和自旋通道,大大减低了电子输运过程中受到的散射。因此,电子输运有效屏蔽了声子散射影响,具有较长的平均自由程,从而使得我们能够在较高温度(~120℃) 观察到弱局域化和电子-电子相互作用。此外,通过电阻温度对数依赖可得到相互作用强度系数,同时可以得到费米液体常数结果
与理论
吻合很好。退相干率与温度一次方成正比,说明电子-电子相互作用为主要的退相干机制。
研究人员还在电极Ni/graphene/Co垂直器件中观察到自旋阀效应。当磁场平行于样品平面时,从正到负或从负到正扫磁场,磁场方向后矫顽力小的电极先改变方向,两电极磁化方向相反时候电阻较大,呈现高阻态。当磁场进一步增大时,两个电极都沿磁场方向,两电极磁化方向平行,呈现低阻态。
此项工作得到了国家自然科学基金委、科技部、苏州纳米所项目的大力资助,并得到苏州纳米所测试和加工平台的技术支持。

图1 (a) Ni/graphene/Co垂直器件示意图。(b)石墨烯样品拉曼和上插图器件实物光学图片,下插图UV-Vis图。(c) 2k下的磁阻。插图是普适电导涨落。(d)电导量子修正与温度对数关系包含弱局域修正和电子电子关联修正,磁场分别在0T和3T得到的费米液体常数分别为-0.128和-0.098。上插图电阻温度关系。

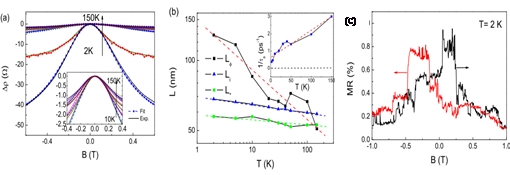
图2 (a) 在不通温度下低场磁阻,实线是弱局域公式拟合结果。(b) 特征长度随温度变化。插图退相干率随温度变化,可以用线性拟合。(c) 磁场平行器件平面时,观察到自旋阀效应。