English | 繁体 | RSS | 网站地图 | 收藏 | 邮箱 | 联系我们
首页 新闻 机构 科研 院士 人才 教育 合作交流 科学普及 出版 信息公开 专题 访谈 视频 会议 党建 文化
  您现在的位置: 首页 > 科研 > 科研进展
宁波材料所在有机-无机杂化防腐蚀涂层研究中取得进展
  文章来源:宁波材料技术与工程研究所 发布时间:2014-03-31 【字号: 小  中  大   

  腐蚀是金属材料在应用中面临的最大问题,它不但会缩短材料的使用寿命,带来巨大的经济损失,还会引发灾难性事故,破坏环境,造成人员伤亡。因此在实际应用中常采用一定的防护手段来控制金属材料的腐蚀、延长其服役寿命。在各类防腐蚀技术和措施中,保护涂层是一种简单、高效的手段。因此设计、制备高效防腐蚀涂层是防腐蚀领域的重要研究方向之一。 

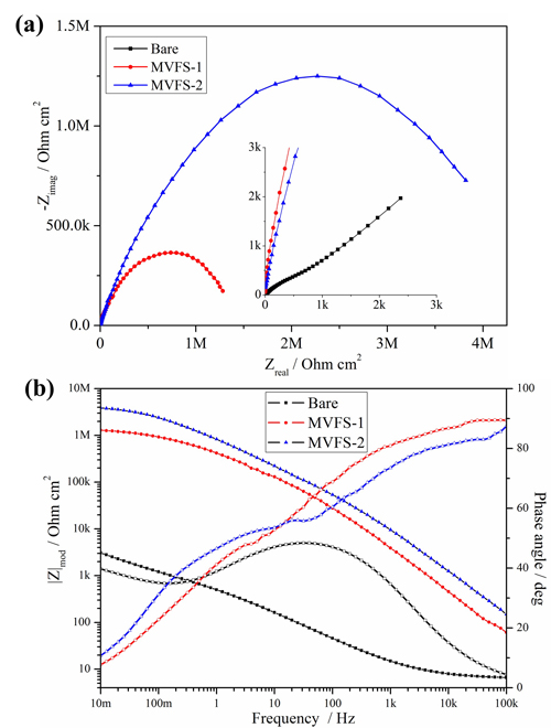
  基于有机硅的溶胶-凝胶涂层是一种有机-无机杂化材料,它兼具了有机材料和无机材料的特性,通过改变有机、无机组份可以连续地改变材料的性质而获得所需的性能。无机成分可以获得好的耐刮擦、耐久性能及在金属上优异的附着性能;而有机组份提高材料的致密性、韧性以及可携带不同的官能基团。中国科学院宁波材料技术与工程研究所乌学东研究团队通过对前驱体、催化剂以及添加剂的调节,获得了一系列性能优异的防腐蚀涂层。如:通过引入硫脲等缓蚀剂获得了一系列在铜表面上附着力高、保护性能优异的环氧溶胶-凝胶涂层(Surf Coat Technol. 2012; 213: 175-92;Appl Surf Sci 2013; 276: 284-90);通过采用新的催化剂获得了适合于碳钢、镁合金的溶胶-凝胶涂层(J Sol-Gel Sci Technol 2013;66(1):133-8)。并申请了三项相关专利(20131000584.4;201210289635.9;201310041683.0)。最近,该团队研究人员结合溶胶-凝胶技术和巯基-烯基点击化学设计、制备了和金属表面具有两种化学键结合方式(Si-O-Metal键和C-S-Metal键)及内部具有两种交联模式(Si-O-Si及C-S-C)的涂层材料,进一步提高了溶胶-凝胶涂层的防护效果。相关研究结果发表于 RSC Adv., 2014, 4 (30), 15776-15781。 

  以上研究得到国家自然科学基(51303192;51202263)、国家自然科学重点基金(51335010)和国家重大基础研究计划(2014CB643302)的支持。 

 

基于溶胶-凝胶和巯基-烯基反应制备的涂层形成示意图 

 

涂敷涂层和裸露铜在3.5% NaCl溶液中的电化学阻抗谱 

  打印本页 关闭本页
© 1996 - 中国科学院 版权所有 京ICP备05002857号  京公网安备110402500047号  联系我们
地址:北京市三里河路52号 邮编:100864