金属-有机骨架(Metal-Organic Framework,MOF)是指金属离子与有机官能团通过共价键或离子-共价键相互连接,共同构筑的长程有序晶态结构。这类MOF材料因在催化、储氢和光学元件等方面具有潜在的应用价值而受到广泛关注,是近十年来化学和材料科学领域的一个研究热点。最近几年,金属-有机骨架材料的磁性和电学性质开始引起人们的兴趣,人们先后在一些金属-有机骨架材料中发现了新型有机磁体、有机铁电体和多铁体等。近期,中科院物理研究所/北京凝聚态物理国家实验室(筹)磁学国家重点实验室孙阳研究组在金属-有机骨架材料的磁性研究方面取得了新进展,发现一种铁基金属-有机骨架材料在低温下表现出磁化强度共振量子隧穿行为。
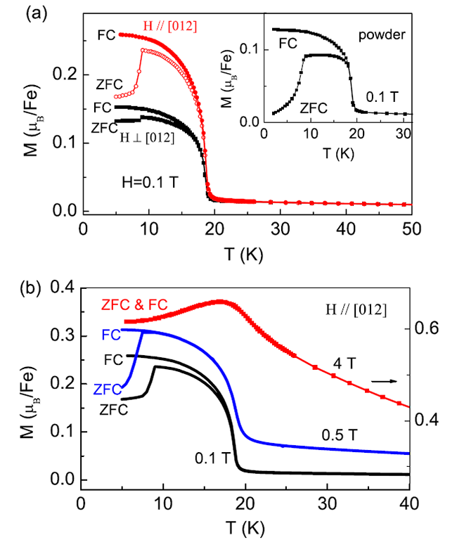
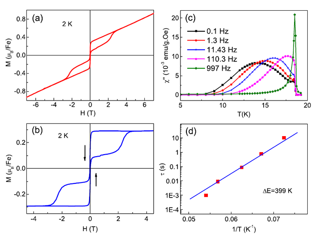
磁化强度量子隧穿(quantum tunneling of magnetization)是一种宏观量子效应。1996年,美国和意大利科学家分别在一些单分子磁体(如Mn12)中观察到磁化强度共振量子隧穿,表现为宏观磁化强度随外加磁场出现规则的台阶跳变。利用磁化强度量子隧穿可以构建固态量子比特,用于量子信息与量子计算。最近,孙阳研究组的硕士研究生田英与磁学实验室王守国副研究员、韩秀峰研究员等合作,利用溶剂热反应法制备出一种钙钛矿结构的金属-有机骨架材料[(CH3)2NH2]Fe(HCOO)3单晶样品。对其磁性研究表明,该体系具有两个磁相变,在18.5K发生一个顺磁-倾斜反铁磁相变,在9K以下发生一个磁阻塞(blocking)转变。在磁阻塞温度以下,其沿易磁化轴方向的磁化曲线开始出现回滞。在2K时,磁化曲线表现出台阶状的磁滞回线。同时,交流磁化率的虚部在低温下也出现一个频率依赖的峰。这些行为都是单分子/单离子磁化强度共振量子隧穿的典型特征。上述实验结果表明金属-有机骨架材料[(CH3)2NH2]Fe(HCOO)3存在本征的磁性相分离——同时存在长程关联的反铁磁有序和孤立的单离子量子磁体。为了理解这一奇特磁性质,孙阳等提出了一个氢键依赖的远距离超交换作用(long-distance superexchange)模型。在传统的安德森超交换作用理论中,交换作用的强度依赖于交换路径(exchange path)的几何因子,可以定性地由Goodenough-Kanamori规则来确定。在金属-有机骨架中,当两个磁性离子通过一个有机链发生远距离超交换作用时,其交换路径会受到有机链周围氢键的影响。当有机链上形成的氢键足够强时,超交换作用可能会被大大抑制,导致孤立的单离子量子磁体的产生。
这一工作不仅将磁化强度共振量子隧穿效应推广到一个新的材料体系,并且揭示出氢键可以对有机磁性具有决定性的影响,通过控制氢键的强度、位置、取向等参数将可以有效地控制有机材料的磁性。以上研究结果发表在近期的《物理评论快报》【Phys. Rev. Lett. 112, 017202 (2014)】上。
该工作得到了科技部量子调控项目及国家自然科学基金的资助。
文章链接

图1. 金属-有机骨架[(CH3)2NH2]Fe(HCOO)3的晶体结构。

图2. 金属-有机骨架[(CH3)2NH2]Fe(HCOO)3的磁相变。

图3. 磁化强度共振量子隧穿行为。

图4. 金属-有机骨架中磁性相分离示意图。