传统半导体泵浦固体激光器中产生的热透镜效应导致激光光束质量下降,限制功率输出。微片激光介质通常厚度为100-300μm,在均匀泵浦和冷却的情况下,介质热流近似为垂直于薄片表面一维传导,最大限度地减小热透镜效应带来的热畸变影响。微片激光器可输出高光束质量(TEM00高斯模)和单色性好(单纵模,线宽小于5kHz)激光,在通讯、测量、医疗、工业加工、科研及军事应用等领域有非常重要的应用。
中国科学院上海硅酸盐研究所人工晶体中心激光与光学晶体课题组副研究员郑丽和、徐晓东和苏良碧以及研究员徐军,提出“强场耦合Yb3+离子准四能级系统”的新概念——利用强场耦合作用增加Yb3+离子的能级劈裂,降低激光下能级的热布居比例,实现Yb3+离子准四能级激光运转。在正、偏硅酸盐系列晶体中筛选出具有最高热导率(7.5Wm-1K-1)和唯一具有负折射率温度系数(dn/dT=-6.3´10-6K-1)的Yb:Sc2SiO5(简称Yb:SSO)晶体,其基态能级分裂达1027cm-1,并采用提拉法生长出Φ25mm×52mm口径的晶体。
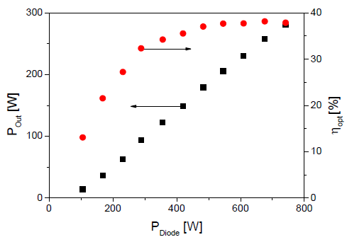
该课题组与上海光机所研究员梁晓燕、山东师范大学教授刘杰、新加坡南洋理工教授D.Y.Tang和德国Stuttgart大学教授T.Graf合作,继首次实现该晶体激光输出和超快激光输出[Appl. Phys. B 91 (2008)443、Optics Express 18 (2010) 16739]后,采用厚度为140μm和150μm的Yb:SSO微片,先后实现75W( M2<1.1) 和280W高光束质量、高功率连续激光输出[Optics Letters. 37 (2012) 37],298fs、平均功率达27.6W( M2<1.1)的锁模超快激光输出[Optics Letters 37 (2012) 4750]。最近,又在该晶体中实现了73fs锁模超快激光输出[Optics Communications 294 (2013) 237]。
以上工作得到了国家自然科学基金重点项目和面上项目、上海市基础研究重点项目、中国科学院上海硅酸盐研究所科技创新项目等资助和支持。
280W高光束质量、高功率连续激光输出

298fs、平均功率达27.6W的锁模超快激光输出

71fs锁模超快激光输出