高温超导机理一直是凝聚态物理前沿研究中的一个重要课题。在目前已发现的铜氧化物和铁砷化物两大高温超导家族中,母体均具有长程反铁磁序,随着空穴/电子掺杂的引入而压制静态反铁磁序并出现高温超导电性,而动态的反铁磁涨落则存在于整个相图区域。这一图像促使人们相信反铁磁涨落在高温超导微观机理中扮演着不可或缺的角色,但如何理解磁激发与超导电性之间的关系却存在许多疑问。解决这一问题的关键在于对整个相图不同掺杂区域的整体磁激发谱进行详细的对比研究,而最合适的研究手段之一就是非弹性中子散射。近年来,利用先进的飞行时间中子散射技术,人们已经能够测量出材料中磁散射截面的绝对值在整个动量-能量空间的分布,随着铁基超导体的发现和大尺寸、高掺杂单晶样品的获得,高温超导机理的中子散射研究获得了前所未有的良好契机。
中科院物理研究所/北京凝聚态物理国家实验室(筹)超导国家重点实验室的戴鹏程研究组自铁基超导体发现以来,针对该新高温超导家族中的磁有序和磁激发开展了系统性的中子散射研究。他们对122型铁基超导体BaFe2As2中不同掺杂方式和掺杂浓度的样品进行了飞行时间中子散射研究,与多名合作者一起测定了母体BaFe2As2中自旋波在海森堡模型下的磁交换能【L. W. Harriger et.al., Phys. Rev. B 84, 054544 (2011)】,电子型最佳掺杂BaFe1.9Ni0.1As2高能自旋激发谱中的关联电子效应 【M. S. Liu et al., Nat. Phys. 8, 376 (2012)】,空穴型最佳掺杂Ba0.67K0.33Fe2As2低能自旋激发谱中的巡游电子磁性【C. L. Zhang et.al., Sci. Rep. 1, 115 (2011)】,以及电子型欠掺杂和过掺杂BaFe2-xNixAs2(x=0.096,0.15, 0.18)中的整体磁激发谱【H. Q. Luo et al., Phys. Rev. B. 88, 144516 (2013)】。由于在铁基超导体中子散射研究中的重要贡献,戴鹏程研究员应邀在Nature Physics上撰写综述【P. Dai et.al., Nat. Phys. 8, 709 (2012)】,他的研究团队也被邀请参与编写多本铁基超导专著。
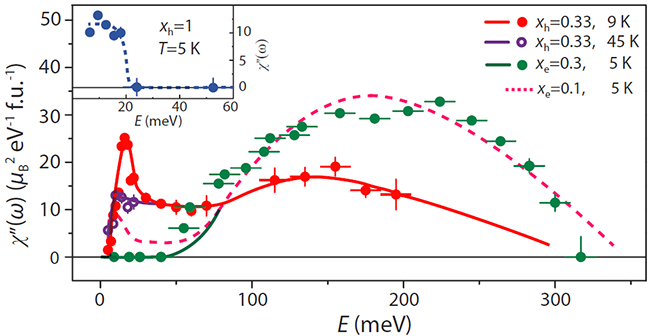
最近,戴鹏程研究组的博士生王猛、鲁兴业,罗会仟副研究员,张笑天博士后与美国莱斯大学/田纳西大学的张承林博士后、博士生宋宇、王渺寅,北京师范大学的谈国太副教授等合作,利用飞行时间中子散射技术,详细对比研究了122铁基超导家族中空穴型最佳掺杂Ba0.67K0.33Fe2As2、电子型极度过掺杂BaFe1.7Ni0.3As2和空穴型极度过掺杂KFe2As2的整体磁激发谱。他们综合已有的研究结果,和不掺杂的母体自旋波进行了对比。一方面,随着电子掺杂浓度的增加,低能磁激发被剧烈改变,在最佳掺杂(Tc=20 K)附近形成和超导电性密切相关的自旋共振峰,并在过掺杂区迅速减弱,直到在极度过掺杂、不超导的BaFe1.7Ni0.3As2(Tc=0 K)中,50meV以下的低能磁激发完全消失,而100meV以上的高能磁激发则一直保持不变;另一方面,随着空穴掺杂浓度的增加,高能磁激发被抑制,在空穴型最佳掺杂Ba0.67K0.33Fe2As2(Tc=39 K)中,磁激发谱权重从高能转移到了低能,在低温下形成很强的自旋共振峰,到了空穴型极度过掺杂KFe2As2(Tc=3 K)中,20meV以上的高能磁激发完全消失,超导电性仅在3K以下存在。进一步,他们根据Ba0.67K0.33Fe2As2中超导态和正常态下的整体磁激发谱差异计算了磁交换能的变化量,发现其远大于超导凝聚能,和铜氧化物及重费米子等非常规超导体非常类似,即反铁磁涨落足以提供超导凝聚所需要的能量。通过和美国罗格斯大学Zhiping Yin博士, Kristjan Haule, Gabriel Kotliar教授以及橡树岭国家实验室T. A. Maier教授等在理论分析和DMFT、RPA数值计算上的合作研究,他们总结出磁激发驱动的铁基高温超导电性图像中必须同时具有来自局域磁矩的高能自旋涨落和来自于巡游电子的低能磁激发,两者之间的耦合可能是形成高温超导电性的关键。该图像可以类比于传统BCS超导体,其超导转变温度依赖于德拜频率、费米面附近电子态密度和电子-声子耦合强度等。该结论为铁基高温超导机理的微观理论模型提供了明确的实验基础和研究方向,对理解高温超导电性有着重要意义。该项研究结果发表在近期的Nature Communications上【详见Nature Communications 4,2874 doi: 10.1038/ncomms3874 (2013)】。
上述研究工作中的飞行时间中子散射实验在英国卢瑟福-阿普尔顿实验室ISIS散裂中子源的MERLIN和MAPS谱仪上与E.A. Goremychkin及T.G. Perring教授合作完成。该研究工作得到了科技部“973”项目、国家自然科学基金项目以及美国相关科学基金等项目的支持。
文章链接

图1. 电子掺杂和空穴掺杂的BaFe2As2电子态相图,圆点标示为测量样品掺杂点。

图2. 不同掺杂方式和掺杂浓度下的整体自旋激发谱比较。

图3. KFe2As2、Ba0.67K0.33Fe2As2 、BaFe1.7Ni0.3As2在60meV以下低能自旋激发比较。

图4. BaFe1.7Ni0.3As2 和Ba0.67K0.33Fe2As2 在70meV以上高能自旋激发比较及相应的数值计算结果。