纳米碳材料在烷烃的氧化脱氢等反应中展现出反应活性高、烯烃产物选择性高、催化活性保持时间长等优势,其作为一种可再生的环境友好催化剂,可以替代传统的金属及其氧化物催化剂直接应用于烷烃催化转化等相关反应中。经过近几年的迅猛发展,纳米碳催化领域在新型催化剂的开发制备、新颖催化反应体系的建立等方面获得了多项突破性的进展。然而,由于纳米碳表面结构表征方法,尤其是原位表征方法的缺失,研究者对涉及纳米碳催化本质的若干核心问题,如催化活性中心的种类和数目、催化剂本征催化活性的衡量和比较等方面认识不足,如何在分子和原子尺度上认识纳米碳催化过程成为相关领域内的重要课题之一。
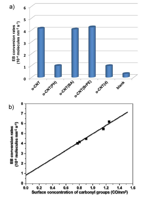
自2007年以来,中科院金属研究所沈阳材料科学国家(联合)实验室催化材料研究部苏党生研究员领导的科研团队一直致力于非金属纳米碳催化领域的研究工作,并取得了一系列创新性研究成果(Science, 2008, 322, 73; Angew. Chem. Int. Ed., 2010, 49, 8640; ChemSusChem, 2010, 3, 169)。针对纳米碳催化剂活性中心定性与定量的难题,苏党生研究员、齐伟博士等人提出了一种新颖的定量碳纳米管上主要含氧官能团表面浓度的化学滴定方法。如图1所示,苯肼、苯甲酸酐和2-溴苯乙酮等能够分别选择性地和碳纳米管表面的酮羰基、酚羟基和羧基进行定量反应,通过对得到的碳纳米管衍生物的结构分析,可以推算出纳米碳管表面这几种主要含氧官能团的浓度。如图2所示,通过对钝化去除表面主要含氧官能团后得到的几种纳米碳管衍生物在乙苯氧化脱氢反应中展现出的催化活性的比较,科研人员首次通过化学方法直接证明了酮羰基基团是纳米碳催化的活性中心。这部分工作以快讯形式于11月8日在Angewandte Chemie International Edition在线发表(DOI: 10.1002/anie.201306825)。
该研究的创新之处在于,化学滴定方法能够直接给出纳米碳管表面含氧官能团的绝对含量,避免了传统的程序升温脱附或XPS分析方法在分峰、峰位指认等过程中主观经验带来的误差,具有其特有的优势。同时,根据滴定结果得到的羰基表面浓度能够计算得到纳米碳管催化烷烃氧化脱氢反应的TOF数值,这一数值能够反应纳米碳催化剂的本征催化活性,为不同催化材料活性的客观比较以及纳米碳催化反应机理和动力学的研究提供了重要的参考价值。
该研究得到了国家重点基础研究发展计划“973”项目(批准号:2011CBA00504)和国家自然科学基金(批准号:51221264、21303226)资助。

图1 纳米碳管表面羰基(a)、羟基(b)和羧基基团(c)的化学滴定过程示意图。

图2 碳纳米管及其滴定衍生物催化乙苯氧化脱氢反应活性对比示意图(a);碳纳米管氧化脱氢催化活性对表面酮羰基浓度的依赖性(b)。