English | 繁体 | RSS | 网站地图 | 收藏 | 邮箱 | 联系我们
首页 新闻 机构 科研 院士 人才 教育 合作交流 科学普及 出版 信息公开 专题 访谈 视频 会议 党建 文化
  您现在的位置: 首页 > 科研 > 科研进展
物理所利用各向异性磁电阻确定磁各向异性常数获进展
  文章来源:物理研究所 发布时间:2013-08-22 【字号: 小  中  大   

   磁各向异性的大小及其对称性在飞秒磁性、高频磁性材料、超高密度磁存储材料和自旋电子材料中起着至关重要的作用,与此同时,由于与Si器件的兼容,Fe/Si(111) 磁性超薄膜的磁性与自旋相关输运性质研究是目前磁学研究的热点之一。对于生长在Si(111)上的bcc-Fe单晶,如果磁化强度严格受限于Fe(111)面内,磁各向异性能量表现出六重对称性,但是单晶衬底取向微弱的改变就会导致各向异性对称性的明显改变,因此需要精确深入确定Fe/Si(111) 磁性超薄膜的不同磁各向异性的贡献。
    中科院物理研究所/北京凝聚态物理国家实验室(筹)磁学国家重点实验室成昭华研究组在过去的几年中一直致力于磁各向异性调控方面的研究,系统研究了Fe/Si(111)和Co/Si(111)等磁性纳米结构的磁各向异性,取得许多有意义的成果。发现通过改变加热电流的方向导致Si(111)衬底原子台阶宽度连续变化,进而成功实现对原子台阶上Fe外延超薄膜的磁各向异性进行连续调控【Scientific Reports 3,1547 (2013)】。
    为克服Fe/Si(111)超薄膜在面内矫顽力差别太小,难以通过磁性测量手段确定各向异性常数的不足,最近该组叶军博士、何为副研究员、吴琼博士、刘郝亮博士、张向群副研究员、成昭华研究员等人与北京航空航天大学物理学院陈子瑜教授合作,通过各向异性磁电阻测量,确定不同磁场下的磁转矩,进而精确确定了不同斜切角对Fe/Si(111)磁各向异性的影响。由于各向异性磁电阻测量手段具有极高的灵敏度,可以用来区分出不同磁各向异性能量的贡献,从而为各种磁各向异性常数的确定提供了一种新途径。相关工作已于近期发表在Scientific Reports 3,2148 (2013)上。

  以上研究工作得到了科技部“973”项目,国家自然科学基金和中科院的支持。

  论文链接

图1 Fe/Si(111)样品制备和测量过程示意(a),样品表面形貌和结构分析(b-d)

图2.斜切角对磁性各向异性能量对称性的影响

图3 磁性测量结果.(a)易轴和难轴的磁滞回线;不同方向的矫顽力(b) 和剩磁(c)

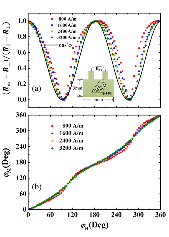
图4.各向异性磁电阻

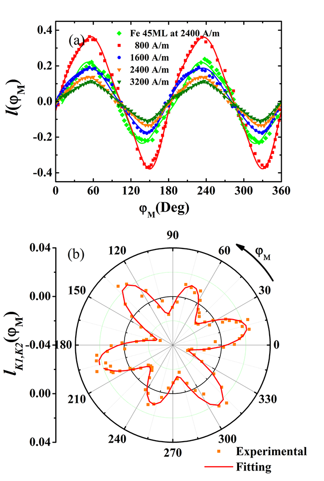
图5.不同磁场下的磁转矩曲线

  打印本页 关闭本页
© 1996 - 中国科学院 版权所有 京ICP备05002857号  京公网安备110402500047号  联系我们
地址:北京市三里河路52号 邮编:100864