新材料的开发和相关物性研究是材料科学和凝聚态物理领域中特别具有重要性和生命力的研究方向之一。不同于合金固溶体,金属间化合物中p-d电子杂化形成的各向异性轨道序使原子具有了有序占位的倾向。努力掌握共价作用的这一特性,通过原子择优占位、能带构造、磁性调控和相变诱发等材料设计方法,可以更高效地发现新型磁性功能材料,从而为磁电子学器件、磁换能器、磁传感器、磁制冷等应用提供高性能的核心材料。
中科院物理研究所/北京凝聚态物理国家实验室(筹)磁学国家重点实验室吴光恒研究组多年来致力于新型磁性功能材料的探索和物性研究,坚持深入研究Heusler合金达16年之久,先后发现了3种Heusler型铁磁形状记忆合金体系,并在多种Heusler合金中实现了磁驱动相变。近年来,又利用第一性原理计算以及原子占位设计的方法,成功开发出了具有共振隧穿特性的高自旋极化率Heusler合金(PRB 11, 1040402 (R) (2010),PRB 82, 092402 (2010)),六角结构新型磁相变体系(Nature Communications 3, 1868 (2012),APL 102, 122405 (2013)),低磁矩补偿型半金属Heusler合金(APL 101, 102402 (2012),APL 102, 062407 (2012)),以及自旋无能隙的四元Heusler合金型磁性半导体(EPL 102, 17007 (2013))。这些研究成果不仅丰富了当前的磁性功能材料的种类,而且加深了对Heusler合金这种具有多种应用功能的金属间化合物的了解。
由于该研究组淀积了关于Heusler合金的各方面基础知识和研究技巧,如能带结构特征、结构稳定性、成相规律、磁性和电性测量方法等。最近,该组王文洪副研究员和刘恩克助理研究员等在当前拓扑绝缘体研究高潮出现的时候,在half-Heusler合金型拓扑绝缘体物性研究方面获得了重要进展。在目前所有理论预测的大量拓扑绝缘体候选材料中,half-Heusler合金体系是唯一的金属间化合物。研究人员深入分析了几十种half-Heusler合金的能带及其电子结构,发现YPdBi正好处于平庸(trivial) 绝缘体和拓扑(topological)绝缘体态转变的边界上,有可能具有异于其他材料的,对物理作用的特殊敏感性。通过第一性原理计算,他们发现在平衡态,YPdBi具有其它half-Heusler合金所不具备的特殊能带结构:其费米面附近同时存在无能隙的二次型和线性能带色散关系(图1)。
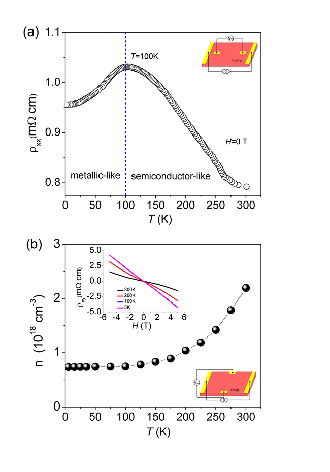
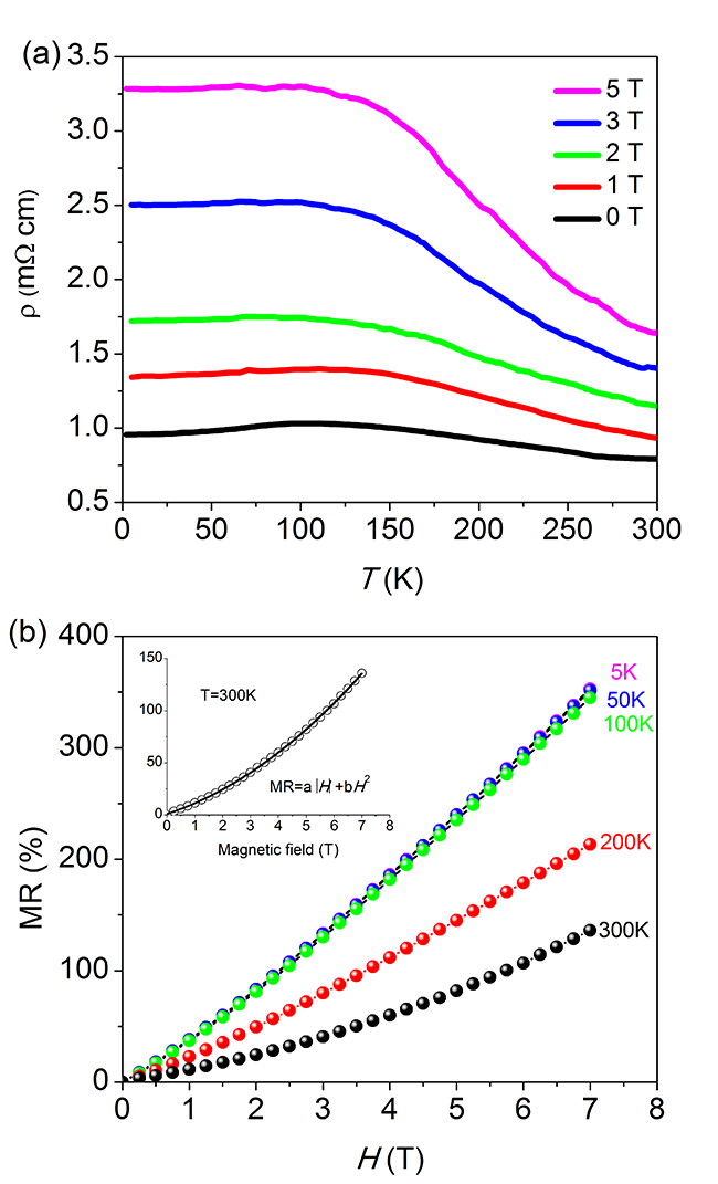
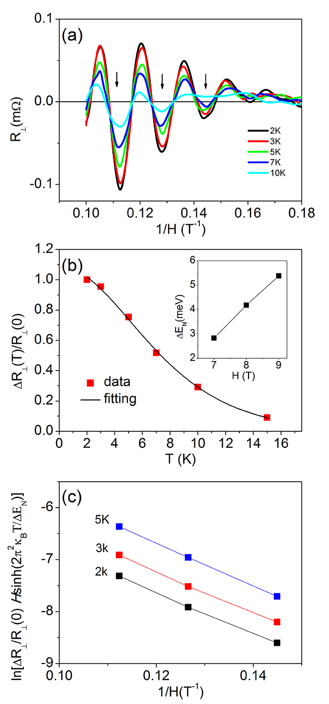
基于这种特殊的的能带特性,他们预测该材料极有可能表现出与众不同的物理性能。随后他们和物理所极端条件物理重点实验室石友国副研究员合作,克服了组分分凝和稀土元素挥发等制备难题,利用助溶剂法生长出高质量YPdBi单晶样品(图2)。电阻测量表明在高温(T > 100K)YPdBi具有零能隙半导体特征,而低温(T <100K)则表现出金属特性(图3)。更为重要的是,如图4所示,在不同温度区间,样品分别表现出量子磁电阻和经典磁电阻双重特性。在低温区间内(T <100K) YPdBi单晶样品具有高达360%的线性正磁电阻,其大小也不随温度变化,这和样品具有无能隙线性色散能谱所表现出量子磁电阻的行为是一致的。而在高温区间(T > 100K),磁电阻随温度升高而降低,并逐渐偏离线性行为。这说明随着温度升高,材料的量子极限条件(无能隙线性色散谱和低载流子浓度)被破坏,从而表现出经典磁电阻行为。同时,通过深入研究低温磁电阻的Shubnikov-de Haas (SdH)震荡效应(图5)和霍尔效应(图2),获得了样品载流子浓度、迁移率和有效质量。进一步的实验证实,这个SdH振荡源于样品中具有高迁移率体态电子的量子效应。这是关于half-Heusler型拓扑绝缘体SdH量子振荡效应和大的线性磁电阻第一例实验报道,这将会大大丰富half-Heusler型拓扑绝缘体的研究和探索空间。相关结果发表在近期出版的【Scientific Reports 3, 2181 (2013)】上。
该项研究工作得到了科技部及国家自然科学基金的资助。燕山大学的柳中元教授和阿卜杜拉国王科技大学的张西祥教授在磁电阻机理研究方面参与了讨论。
 |
| 图1 half-Heusler合金YPdBi的能带结构。 |
 |
| 图2 half-Heusler合金YPdBi的结构表征。 |
 |
| 图3 half-Heusler合金YPdBi的电输运性质。 |
 |
| 图4 half-Heusler合金YPdBi的磁输运性质。 |
 |
| 图5 half-Heusler合金YPdBi的低温磁电阻的Shubniko-de Haas (SdH) 震荡效应。 |