English | 繁体 | RSS | 网站地图 | 收藏 | 邮箱 | 联系我们
首页 新闻 机构 科研 院士 人才 教育 合作交流 科学普及 出版 信息公开 专题 访谈 视频 会议 党建 文化
  您现在的位置: 首页 > 科研 > 科研进展
青岛能源所生物法合成可降解塑料研究取得新进展
  文章来源:青岛生物能源与过程研究所 发布时间:2013-08-14 【字号: 小  中  大   

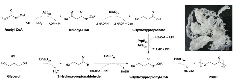
  传统塑料主要来源于石油,且无法自然降解,易造成污染。用生物技术生产可降解塑料替代石油基塑料,可从根本上解决上述问题,已被列入国家优先发展的高技术产业化重点领域。聚3-羟基丙酸(P3HP)是一种具有广阔发展前景的新型可降解塑料,具有良好的材料性能和广泛的应用范围,而目前已知的生物均不能天然合成聚3-羟基丙酸。 

  近日,中国科学院青岛生物能源与过程研究所生物基化学品团队在生物法合成聚3-羟基丙酸技术开发取得了一系列新进展。研究人员分别克隆了不同来源的聚3-羟基丙酸合成所需的酶基因,在大肠杆菌中表达纯化了相关酶并比较它们的催化活性,选择具有最高活性的酶基因组合构建了两条合成聚3-羟基丙酸的代谢途径,可利用葡萄糖、甘油等廉价可再生碳源生产聚3-羟基丙酸(图1)。目前,聚3-羟基丙酸产量已达10.1 g/L,远高于其它文献报道的最高产量(1.4 g/L)。 

  为进一步改善聚3-羟基丙酸的材料性能,研究人员还在其中掺入了3-羟基丁酸单体。利用两种独立的基因表达调控系统来分别控制3-羟基丙酸和3-羟基丁酸前体的相关合成基因,通过对合成基因表达强度的调节,实现了单体比例和结构完全可控的3-羟基丙酸与3-羟基丁酸共聚物合成,材料的热力学性能和机械性能得到了明显改善。 

  上述工作得到了中科院、科技部、国家自然科学基金委等单位项目支持。相关研究成果发表在Bioresour TechnolJ Microbiol等杂志,并申请发明专利2项,建立了聚3-羟基丙酸合成关键技术包,为实现聚3-羟基丙酸的工业化发酵生产奠定了理论基础。   

    论文链接: 1  2  3

      

  1. 3-羟基丙酸(P3HP)及其合成途径。 

  打印本页 关闭本页
© 1996 - 中国科学院 版权所有 京ICP备05002857号  京公网安备110402500047号  联系我们
地址:北京市三里河路52号 邮编:100864