English | 繁体 | RSS | 网站地图 | 收藏 | 邮箱 | 联系我们
首页 新闻 机构 科研 院士 人才 教育 合作交流 科学普及 出版 信息公开 专题 访谈 视频 会议 党建 文化
  您现在的位置: 首页 > 科研 > 科研进展
物理所非晶金属玻璃中β弛豫机理及控制因素研究获进展
  文章来源:物理研究所 发布时间:2013-08-12 【字号: 小  中  大   

  处于能量亚稳态的复杂非晶态固体物质中存在各种弛豫行为。弛豫现象起源于多体系统的不可逆过程,取决于一些基本物理定律。这种不可逆的物理及化学过程是使系统微扰和耗散得以进行的必要条件,是维持平衡和进一步演化的前提。但是,非晶多体系统中的弛豫与扩散问题的物理机制仍然不清楚,是一个重要而又未解决的物理问题。研究认识非晶的弛豫行为非常重要,因为它决定了非晶凝聚态物质的基本特征和应用,因而,弛豫研究一直是材料科学和凝聚态物理领域的热点。在各种非晶玻璃态包括有机高分子/小分子玻璃、氧化物玻璃、以及非晶态药物甚至某些蛋白质中存在两种本征的基本弛豫模式, 即α弛豫和β弛豫。α弛豫涉及非晶中大范围的粒子扩散运动,而β弛豫与非晶体系中局域的区域的粒子运动行为有关,并与玻璃转变、塑性形变等物理性质有密切联系。

  中科院物理研究所/北京凝聚态物理国家实验室(筹)极端条件物理重点实验室汪卫华研究组率先以非晶合金(又称金属玻璃)为典型体系开展β弛豫的研究工作,并取得了一系列有影响的成果,最近应邀在《今日材料》(Mater.Today.16, 183 2013) 发表了综述文章。他们于2004年首先在块体非晶合金中发现β弛豫行为【Appl. Phys. Lett. 84,  2790 (2004)】, 并发现β弛豫在非晶合金中有非常重要的作用。

  2010年,他们利用内耗方法,从实验上揭示了非晶合金塑性形变和β弛豫之间的内在联系【Phys Rev B  81, 220201(R) (2010)】。证明了β弛豫与非晶合金体系塑性变形基本单元有相等的激活能。该结果证明非晶中的两大转变--玻璃转变和形变这两个表面上看似完全不同的过程本质上都是外加能量造成的玻璃和液态之间的转变或者流变。

  2011年,他们根据非晶β弛豫和塑性关联的结果,研制出了一种在室温附近具有拉伸塑性形变的新型La基非晶合金,并阐明了非晶韧脆转变和β弛豫之间的关系 【Phys. Rev. Lett.108, 015504 (2012)】。

  2012年,他们和德国哥廷根大学合作证明了在非晶合金中β弛豫与小原子扩散发生在同样的时间和温度范围内,小原子的扩散行为是和β弛豫耦合在一起的,并提出了链状合作运动的β弛豫微观结构模型【Phys. Rev. Lett.109, 095508 (2012)】。

  然而,对β弛豫的一个基本问题仍然不清楚: 例如有些非晶材料会有明显的β弛豫峰,而另一些没有现明显的β弛豫峰,只有所谓的过剩尾(excess wings)出现。这个现象虽然在各种玻璃物质中被广泛研究,但其背后的物理机制仍不清楚。另一方面,这个问题也影响利用调控β弛豫来改变非晶玻璃态材料性能的方法的广泛使用。

  最近,白海洋研究员等和于海滨博士(2011年毕业于物理所,之后获德国洪堡资助在德国德国哥廷根大学做博士后)与德国哥廷根大学Konrad Samwer教授合作,从非晶原子组元之间混合焓的角度来研究化学因素对非晶态合金β弛豫的影响。结合大量非晶合金β弛豫的测量结果,他们发现,正混合焓或组元间较大的混合焓涨落都会抑制非晶合金中的β弛豫峰;而较强的混合焓(较强的组元之间的相互作用)且较小的混合焓涨落能增强非晶合金中β弛豫峰的强度。他们将这种现象和有机物中分子链长、官能团替换等因素对β弛豫的影响作对比,得到了一致结论。据此,他们根据此前提出的链状β弛豫运动模型,对这些现象进行了解释,并试图给出理解非晶合金中β弛豫的一个统一物理图像。他们认为,较强的、均匀的原子之间相互作用会促进非晶金属玻璃中类似分子链的结构(对应于β弛豫的结构起源)的产生。该项工作使得利用调控β弛豫来改变非晶玻璃态材料性能成为可能,并为进一步阐明非晶形成机制、形变机制以及β弛豫的机制提供了重要基础。相关结果发表在Nature Commiunications. 4,2204(2013)。

  本项研究工作得到国家自然科学基金项目、“973”项目和中科院的资助。

  文章链接 

 

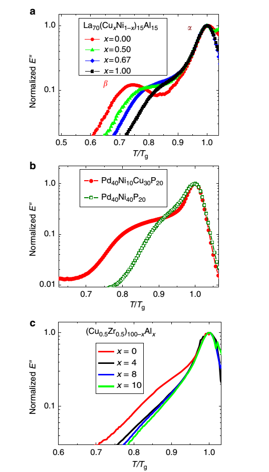
图1 典型体系中β弛豫以及化学因素的影响。
FIG.1 Behaviors of β relaxations in metallic glasses.

 

    图2 典型体系中的混合焓,涨落以及加权平均值(称为平均化学亲和力,mean chemical affinity)。
    FIG2. Enthalpy of mixing and mean chemical affinity of metallic glasses.Dash-dot ellipses in (a) and (b) indicate compositions with pronounced β relaxations; arrows in (d) and (e) indicate the directions along which β relaxations become more pronounced with composition variations in each systems.
 

  打印本页 关闭本页
© 1996 - 中国科学院 版权所有 京ICP备05002857号  京公网安备110402500047号  联系我们
地址:北京市三里河路52号 邮编:100864