棉铃虫(Helicoverpa armigera)是棉花重大害虫之一,随着转基因棉花在新疆地区逐步推广和应用,棉铃虫对转基因棉花的抗性管理不容忽视。由于新疆绿洲呈“岛屿”状分布、景观均质化高、规模化和小农户两种耕作体系并存,抗性风险问题不同于内地棉区。为此,在新疆开展针对棉铃虫抗性管理的研究,十分必要和迫切。
针对棉铃虫对转基因棉花的抗性管理问题,中国科学院新疆生态与地理研究所吕昭智研究员团队在国际科技合作项目“干旱区棉花有害生物生态控制的关键技术及其环境健康”和“西北转基因棉区生物安全评估及避难所建立”的支持下,于2007-2010年监测了北疆不同作物景观棉铃虫种群动态;并评估了不同作物种类和不同种植模式对棉铃虫庇护所功能的影响。
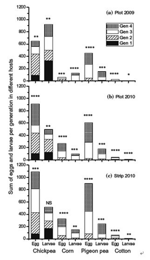
研究发现,以棉花为主的简单作物系统产生的棉铃虫种群数量显著少于以番茄、玉米、小麦为主的复杂作物系统,棉铃虫种群数量与棉花在作物系统的比例呈负相关;鹰嘴豆、玉米、木豆可作为新疆棉区棉铃虫的重要庇护所,而庇护所作物的条块种植和条带种植对庇护所功能影响不大。
根据上述研究成果,该团队结合新疆农业特点和棉铃虫种群过程,提出基于田间和景观尺度的棉铃虫抗性管理策略:田间尺度上,在规模化种植棉区增加春玉米带,在小农户种植棉区优化和协调小麦-夏玉米的时空布局,在小农户种植棉区轮作将有助于抑制和延缓棉铃虫的抗性上升;景观尺度上,增加农田作物景观多样性将产生更多敏感的棉铃虫,有利于Bt抗性管理。但新疆转基因棉区庇护所功能仍需要从虫源分析、棉铃虫交配以及后代适宜度上深入研究。
相关研究成果分别以Spatial and temporal dynamics of Helicoverpa armigera (Lepidoptera, Noctuidae) in contrasting agricultural landscapes in northwestern China和Towards a resistance management strategy for Helicoverpa armigera in Bt-cotton in northwestern China: an assessment of potential refuge crops为题,发表于International Journal of Pest Management 和Journal of Pest Science 上。


图2 不同作物上棉铃虫卵量和幼虫量