麻楝(Chukrasia tabularis)为楝科植物,植株高大,树干是优质木材;因树姿雄伟,枝叶茂密,常用作行道树和庭荫树的园林绿化乔木。因麻楝的phragmalin柠檬苦素结构化学结构多样性和骨架非常富于变化,新颖骨架频繁报道,使之成为近10年天然产物化学研究中引人注目的热门植物。
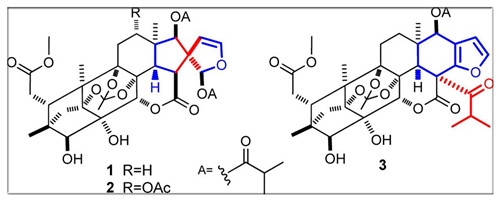
最近,中国科学院昆明植物研究所邱明华研究员带领的团队,从麻楝枝叶中分离到一系列C-15/呋喃环建立C-C连接的phragmalin型柠檬苦素外,发现了两个在C-15位与C-20位之间建立新的连接,并由此形成独特的2-氧杂螺[4.4]壬-3-烯结构片段的新颖骨架类型(1,2)。生物活性筛选实验表明:这些新颖骨架化合物对肿瘤细胞株具有一定的抑制作用。为麻楝枝叶的综合开发利用提供了新的技术资料和科学依据。
以上研究发现以Chukfuransins A-D, four new phragmalin limonoids with β-furan ring involved in skeleton reconstruction from Chukrasia tabularis为题在线发表于Organic Letters 2013, 15(15): 3902-3905。
该研究得到科技部、中科院、国家自然科学基金委的资助。
论文链接


麻楝枝叶中分离的化合物