中科院国家天文台岳斌、徐怡冬、陈学雷等研究人员与意大利比萨高等师范学校(SNS) Andrea Ferrara教授,以及意大利国家天体物理研究所(INAF/IASF-MI)的Ruben Salvaterra博士在近日的一项合作研究中提出:宇宙近红外背景辐射(NIRB)的超出可能来源于宇宙中的第一代黑洞。这类黑洞通过直接坍缩的机制形成,是约为100万倍太阳质量的中等质量黑洞。该工作的论文已在MNRAS(Infrared background signatures of the first black holes Yue Bin; Ferrara Andrea; Salvaterra Ruben; Xu Yidong; Chen Xuelei,Monthly Notices of the Royal Astronomical Society,2013 MNRAS.tmp.1501Y)上发表,并得到了Science的主编推荐(Editor’s choice)。比萨高师和INAF的网页上都对此进行了报道。
在红移约10至30之间的时候,中等质量的黑洞可以通过一种被称为“直接坍缩”的机制在未形成恒星的暗物质晕中产生。该工作指出,直接坍缩过程形成的黑洞,其电离辐射(少量高能X射线光子除外)被周围的物质大量吸收,但这些被吸收的能量最终将以较低能量的光子形式逃逸,经红移到今天成为近红外背景辐射的一部分。
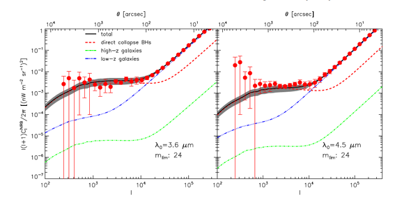
近年来,观测到的近红外背景的涨落功率谱与理论预言相比有明显的超出,如何解释这一超出一直困扰着天文学家。此前,人们曾认为这些超出来自第一代恒星,但模型计算表明,第一代恒星和高红移星系的贡献比观测值低一到二个数量级。第一代黑洞模型可以给出与观测相符的近红外背景涨落功率谱,同时该工作还自然地预言近红外背景辐射应该与宇宙X射线背景辐射相关。最近Cappelluti等人确实观测到了近红外辐射与X-射线背景之间相关,证实了这一理论预言。

理论计算的第一代黑洞对红外背景辐射的角功率谱的贡献及实测值,左图为在波长3.6微米上的角功率谱,右图为4.5微米波长处的角功率谱。