有机芳香共轭化合物尤其是含氧族元素(如硫、硒等)的杂稠环芳香化合物由于其显著的光电特性而备受研究者重视。二氧杂蒽嵌蒽(PXX)是目前报道的为数不多的含氧族元素的全六元杂芳共轭小分子,其结构中引入了氧桥联结构,极大增加了分子间作用力和分子的环境稳定性,此外,由于氧杂原子是以六元环的方式引入,使分子具有多个取代位点,可以根据需要引入不同官能团进一步调控材料的光电性质和分子固态堆积结构,以达到较高迁移率。对它的研究可以拓展有机光电材料的发展与应用。
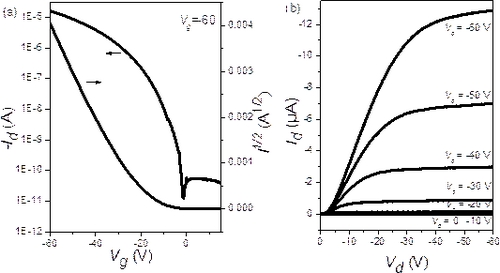
中科院苏州纳米技术与纳米仿生研究所印刷电子中心崔铮课题组在PXX的合成以及选择性官能化方面取得重要进展,通过在氧化环化形成PXX之前即对前体分子进行选择性的官能化,然后扣环形成不同位点取代的PXX衍生物,解决了PXX分子溶解性差的难题,避免了原路线溶解性差、需反复提纯的繁琐工艺。合成了2,8-位烷基取代、1,7-位烷基取代和5,11-位烷基取代的PXX,并且得到了这几种材料的单晶,极大地丰富了二氧杂蒽嵌蒽类材料体系。这种方法为合成一类新的含氧族元素的六元杂芳共轭化合物开辟了途径。其中基于1,7-位烷基取代PXX的器件相对于另外两种材料的器件有明显优势,达到较高迁移率和开关比。相关结果发表在2013年5月的Organic. Letter上 (DOI: 10.1021/ol400790d)。
此项工作得到国家自然科学基金委和中科院方向性项目的支持。
原文链接

图1. 三种PXX衍生物的分子结构
图2 . 三种PXX衍生物的分子固态堆积结构

图3. 1,7-位烷基取代PXX衍生物的晶体管性能曲线:(a)转移曲线(b)输出曲线 |