分数量子霍尔效应作为凝聚态物理的一个重要领域在过去数十年中受到了广泛关注,其中1982年的发现分数量子霍尔效应实验以及1983年的解释分数量子霍尔效应的理论研究在1998年获得诺贝尔物理学奖。迄今为止,人们只在强磁场下的二维电子气中观测到分数霍尔效应。近年来探索在其他系统中实现分数量子霍尔效应,例如没有磁场的格点系统及冷原子系统,是一个重要的研究课题。在冷原子系统中,利用快速旋转的BEC的方法或用激光产生人造规范场的方法,能有效地实现朗道能级。由于长程相互作用的存在,具有偶极相互作用的超冷费米体系是一个非常好的可能实现分数量子霍尔态的候选系统。另外,最近的理论研究表明,在拓扑非平庸的平坦能带上引入电子强相互作用并使电子分数填充能带后,也有可能实现分数量子霍尔态。
对于非平庸的拓扑态的研究主要集中在二维系统,而一维系统直到最近才开始被关注。在中科院物理研究所/北京凝聚态物理国家实验室(筹)凝聚态理论与材料计算实验室陈澍研究小组去年的工作中【Phys. Rev. Lett. 108, 220401 (2012)】 ,他们发现一维的周期调制的超晶格模型是拓扑非平庸的,可以由一个定义在有效的二维参数空间中的非平庸的陈数(Chern number)来标定。在这类模型中,周期调制势中的相位参数提供了一个除动量之外的额外维度。一维准周期系统中的非平庸的边界态最近已被以色列的一个研究小组利用光子晶体系统在实验上观察到。由于分数量子霍尔效应来源于具有强的长程相互作用的整数量子霍尔效应, 一个有趣的问题就是:对于一维的准周期的系统在加入长程相互作用后是否会出现类似分数量子霍尔态的量子态?
最近,陈澍研究员和博士生徐志浩、李林虎在一维光学超晶格系统的分数拓扑态研究方面取得理论进展。他们系统地研究了周期调制的一维光学超晶格系统中的具有偶极相互作用的费米体系,发现对于能带被分数填充的情况下,当偶极相互作用变得很强时,在一维的准周期光晶格系统中存在分数拓扑态。他们发现这个一维超晶格中的分数拓扑态和分数量子霍尔态具有很多有趣的联系:(1)一维分数拓扑态具有p重简并对于填充因子为1/p的情形;(2)它与分数量子霍尔态对于准空穴激发满足相同的计数规则;(3)这p重简并的态其总的Chern数是为一个非零的整数。在强偶极相互作用下,他们发现系统中存在简并的晶化态,这同定义在圆环面上的分数量子霍尔系统在趋于其一维极限下的行为是相一致的。其理论工作给出了一种在光晶格系统中的实现分数拓扑态的方案,并启示有可能利用调制的低维系统模拟更高维的系统中的相关物理现象。
这一研究成果已发表在最近出版的《物理评论快报》(Phys. Rev. Lett. 110, 215301 2013)上。
相关研究得到国家自然科学基金委员会和科技部的支持。
相关链接

图1:填充数等于1/3的系统的谱流图(在扭曲边界条件下能量随扭曲边界相角的变化)。 (a)-(c)展示了N=2的系统, V别的等于1,50,500的情况。(d)-(f)展示了N=3的系统,V分别等于1,50,500的情况。当相互作用很强时,可见形成三度简并的基态空间,并有一个明显的能隙同激发态分开。

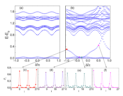
图2:系统的低能能谱随着调制势相位\delta的变化,这里E0代表系统的基态能量。(a)对应于周期边界条件;(b)对应于开边界条件; (c)-(f)是能隙中的模式的密度分布,对应于不同的调制势相位。对比周期边界条件下的能谱,可见随着调制势相位\delta的变化,开边界条件下的能谱在能隙内部区域出现了连接基态和高激发支的边界模式。