中国科学院紫金山天文台与北京大学,提出了与快速射电暴FRB 200428成协的X射线爆发起源于强磁场重联过程,并通过粒子动理学模拟方法(Particle in Cell,简称PIC方法)解释了这一爆发事件的能谱、光变观测特征。9月1日,相关研究成果以《FRB成协X射线暴发的起源:QED磁重联》(Origin of FRB-associated X-ray burst: QED magnetic reconnection)为题,作为封面文章,在线发表在《科学通报》(Science Bulletin)上。
快速射电暴(Fast Radio Burst,FRB)是宇宙中一类持续时间为毫秒量级的超亮射电脉冲信号,其起源和产生机制是当今天文学谜题之一。自2007年发现以来,FRB的研究成为天体物理学前沿热点之一。2020年4月28日,加拿大CHIME射电望远镜和美国STARE-2探测器,首次探测到来自银河系内一颗名为SGR J1935+2154磁陀星的射电爆发FRB 200428。同时,中国的慧眼(HXMT)卫星、欧洲的INTEGRAL卫星、俄罗斯的KONUS-WIND探测器和意大利AGILE卫星,探测到与FRB 200428成协的X射线爆发现象(简称为FRB 200428-X)。这一观测事实确认了磁陀星可以产生FRB,并证实了FRB在瞬时辐射阶段存在X射线波段的对应体。关于FRB 200428的研究成果,被《自然》评为2020年十大科学发现之一,并被《科学》列入2020年十大科学突破,被认为是探索FRB本质的重要进展。
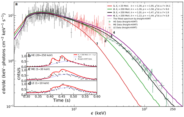
紫金山天文台研究员吴雪峰领衔的高能时域天文研究团组,与北京大学物理学院重离子物理研究所、核物理与核技术国家重点实验室教授乔宾课题组合作,基于第一性原理给出了FRB 200428-X的精细起源模型。由于磁陀星附近磁场强度极大,量子电动力学(QED)效应(包括辐射阻尼、正负电子对的产生和真空极化等)会在磁重联过程中扮演重要角色,使得PIC方法成为相关研究的必要手段。该团队创新性地实现集成跨尺度数值模拟,自洽结合QED磁重联对粒子的加速以及高能粒子与软光子多次逆康普顿散射两个过程(图1)。研究发现,QED效应会对磁重联加速粒子能谱的幂率谱指数和截止能量产生显著影响(图2),并通过与HXMT观测能谱比较(图3),限定FRB 200428-X爆发区域的磁化参数区间(图3)。该工作通过跨尺度、多物理的数值模拟方法,提出了较为全面的FRB 200428-X的物理起源模型,强调了QED效应对磁重联的微观粒子加速过程和宏观天文观测结果的显著影响,为探究极端环境下的天文观测数据提供了新思路。
研究工作得到科学技术部平方公里阵列射电望远镜(SKA)专项项目、国家自然科学基金、中国科学院稳定支持基础研究领域青年团队计划和中国科学院青年创新促进会的支持。
论文链接

图1. FRB 200428-X爆发产生机制示意图

图2. 磁重联加速电子能谱及其对应的幂律谱指数对磁化参数的依赖关系

图3. 不同加速电子能谱经多重逆康普顿散射后的光子能谱和光变曲线与观测对比