近日,中国科学院近代物理研究所与厦门大学合作,在中子星周期跃变研究中取得进展。相关成果发表在The Astrophysical Journal上。
中子星是现代天体物理学的经典研究主题。它的发现源于其周期性的脉冲信号,因而又称脉冲星。脉冲星的表面磁场类似于磁偶极子,在自转过程中会因向外辐射能量而损失能量,从而其自转频率减小。然而,在自转减慢的过程中,频率会突然增加,再经历数天或数月恢复,这一现象就是中子星的周期跃变现象(glitch现象)。
中子星的周期跃变观测提供了独特的方式来探测中子星的内部结构与动力学演化。当前的主流观点认为,glitch现象是由中子星内部的超流体引起。在简化的两分量模型中,超流涡旋被钉扎在壳层的原子核晶格上,不随星体自转减慢,允许存储角动量,当达到一定条件时,储存的角动量会快速释放,对应周期跃变现象。这种超流体与其余部分解耦和重新耦合过程分别对应观测的跃变和恢复。
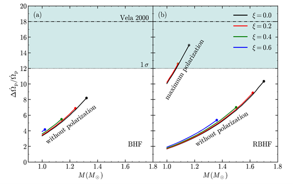
研究基于微观方法Brueckner和相对论Brueckner多体理论方法,以现实核力为基本输入,对中子星物质进行第一性原理计算,获得了物态方程(包括质子丰度与压强能量的密度依赖关系)。科研人员通过得到的物态对星体结构进行描述,并结合两分量模型,探究船帆座(Vela)脉冲星2000年跃变的跃变幅度和跃变约1分钟后的短期恢复观测数据,发现跃变观测支持船帆座脉冲星是一颗小质量的中子星,典型半径约为12.5千米,且中子的超流能隙受核介质的极化程度影响较大。
未来,高精度观测装置(如FAST、HXMT、SKA)对脉冲星的计时观测将提供更多信息,将进一步帮助人们剖析脉冲星结构和验证跃变理论,并对两分量模型及核物质高密物态进行一定的约束。研究工作得到中科院战略性先导科技专项(B类)、中科院青年创新促进会等的支持。
论文链接

用微观物态计算的Vela 2000短时标恢复随星体质量的变化,阴影部分对应观测在1σ的数据。(尚新乐/图)