近年来,世界各地的高能物理实验涌现出较多的奇特强子态的信号,对其内部结构的研究成为强子物理领域的焦点之一。奇特强子态,是其内部结构不同于传统夸克模型中夸克-反夸克构成的介子或三个夸克构成的重子的强子。目前,关于这些奇特强子态的内部结构尚未形成一致的理解。
关于奇特强子态的实验结果有一个明显而有趣的现象——几乎所有的信号均位于一对与之有耦合的强子阈值附近,如X(3872),Zc(3900)位于
阈值附近,五夸克态Pc分别位于
阈值以下等。这些强子对这些结构的产生起着重要作用。较多研究探讨了其中一个或几个奇特强子态与对应阈值的联系,但尚未有系统的研究解析关于在哪些阈值附近、在什么样的过程中可观测到什么样的结构。
近日,中国科学院理论物理研究所研究员郭奉坤和邹冰松以及博士研究生董相坤,对该问题给出了系统性的答案。科研人员构造模型无关的非相对论有效场论,探究对强子之间的低能散射,发现阈值附近散射振幅的一般性行为,揭示近阈结构产生的普遍规律:只要两个粒子之间存在吸引力,必会产生近阈结构,而且吸引力越强、粒子质量越重,近阈结构会越剧烈。
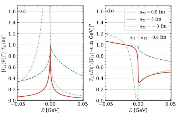
某个反应过程末态粒子的不变质量分布是一个物理可观测量,线形由对应的散射振幅的模方决定。考虑一个过程产生粒子A,B(第一道)或C,D(第二道,阈值高于第一道),继而两道之间相互转化,最终在末态测量A和B的不变质量分布。考虑如下两种情形:(1)C,D的产生占主导:如果C和D之间是吸引相互作用但不足以形成束缚态,那么,A和B的不变质量分布将在第二道阈值处出现极大值(峰)。C和D形成的虚态 (virtual state) 越靠近阈值,这个峰就越尖锐。如果C和D之间的相互作用足够强,形成束缚态,那么,峰的位置就会在束缚态的能量上。如图(a)。(2)A,B的产生占主导:A和B的不变质量分布和第一种情况不同。当C和D之间有较强的吸引力时,没有出现峰结构,反而会出现低谷。虚态或束缚态越靠近阈值,线形的变化越迅速,如图(b)。这一现象是幺正性(几率守恒)带来的后果。这两种情况可以解释较多已有的实验现象。在实验中常看到较为靠近阈值的峰结构,也就是第一种情况。不应简单地将峰的位置看作是对应粒子的质量,其真正的极点或是在阈值以下的一个虚态。
研究预测,如果一对粲强子和反粲强子之间存在吸引相互作用,那么在与之可以耦合的粲偶素和轻强子的不变质量谱上可以看到相应的阈值结构;近阈结构在底强子系统中将更明显。该研究是高能物理实验发现的新强子态的统一描述的重要一步。
近日,相关研究成果发表在Physical Review Letters 126, 152001 (2021)上。此外,该团队在《物理学进展》上发表综述文章《正反重强子对构成的强子分子态能谱(英文)》,总结了实验和理论上强子分子态的现状,拓展了前述PRL的工作,预测了超过两百个强子分子态(包括束缚态和虚态)。研究工作对未来在大科学装置上研究含有一对正反重夸克的强子提供了重要的理论指引。

几种散射振幅模方的特征线形,表征着第一道末态不变质量分布的行为。左图为产生第二道为主导的情况,右图为产生第一道为主导的情况。左右两图中同色的曲线对应的振幅具有相同的极点