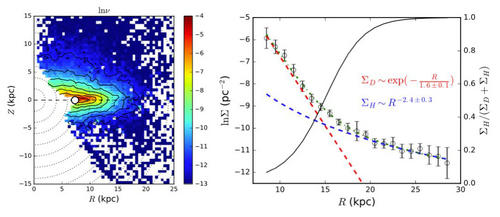
近日,中国科学院国家天文台研究人员刘超、徐岩等人使用LAMOST的红巨星样本绘制了银河系外围结构切面图,发现银河系的盘比以前认识的大25%。他们发现,银河系的外盘一直延展到19千秒差距,其间没有看到银盘的截断,即银盘没有明显的外边界,而是光滑地过渡到了恒星晕。
以往的研究认为,银盘的半径大约只有14-15千秒差距,之后会有一个明显的截断,很多理论研究据此推演银河系的形成和演化历史。尽管有研究在距离银心20千秒差距的地方陆续发现了少量的年轻恒星,但是直到这项工作,人们才真正系统地看到了银河系外盘的庐山真面目。这样一个更大且平滑的外盘形状需要完全不同的理论进行解释。这一发现对于理解银河系的形成、银盘的演化,特别是外盘如何自内向外形成都具有深远意义。这项研究的“副产品”是,研究人员发现,一度认为是星系并合重要证据的麒麟座环形子结构(Monoceros ring)并没有显著出现在他们绘制的银盘剖面图中。这一结果在同行间引起热议,本来就没有落定尘埃的麒麟环子结构的起源问题再一次成为焦点。
此项工作第一作者刘超在最近于德国波茨坦举行的国际天文联合会第334号分会(IAU Symposium 334)上,以邀请综述报告形式展示了这一结果,得到了包括星系天文学权威专家澳大利亚国立大学教授Ken Freeman在内的国际同行的广泛关注。
这些发现作为一个系列工作的第一部分,已经发表在最新一期《天文学和天体物理研究》(Research of Astronomy and Astrophysics,2017,9,96)上。

左侧是银河系银盘外围部分的恒星分布密度切面图,红色是恒星空间分布密度高,蓝色分布的密度低。太阳在白色圆圈处。右侧是把Z方向恒星加起来得到的径向恒星数密度分布图,可以看到银盘(红色虚线)平滑地延伸到将近19千秒差距。