全球至少有60%的陆地面积被永久或季节性积雪所覆盖。积雪对土壤来说不仅是个保温层,而且它直接影响了土壤湿度以及冻融交替循环的次数,从而对陆地生态系统的碳、氮循环有很大的影响。目前已有很多关于积雪厚度变化对陆地生态系统碳氮循环影响的报道,但由于不同研究关注的生态系统类型、运用的研究方法以及控制实验时间长短的不同,不同研究的结果之间存在明显的差异。
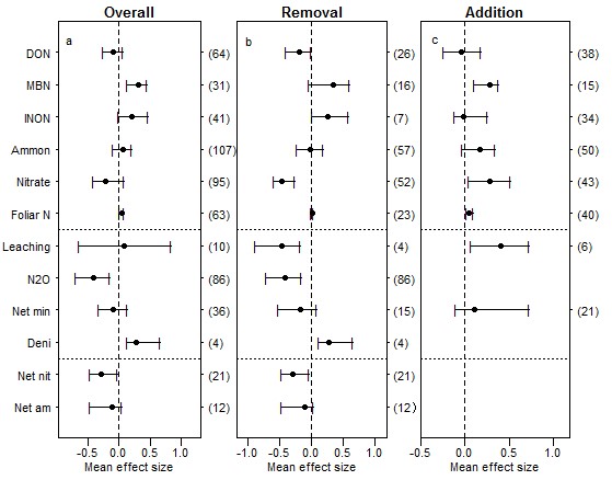
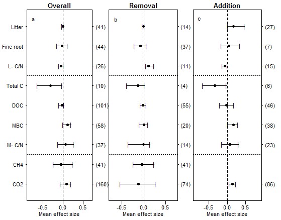
基于此,中国科学院沈阳应用生态研究所生态气候组博士研究生李伟斌在研究员金昌杰的指导下,与其他合作作者通过运用整合分析(Meta-analysis)的方法系统探讨了积雪变化对陆地生态系统碳、氮库及其动态的影响,并综合评价了不同实验方法与研究时间长短的利弊。研究结果表明(如图):首先,陆地生态系统氮循环对积雪厚度变化的反应比碳循环更敏感。其次,增加积雪厚度增加了植物叶片与土壤中的氮元素含量;增加了土壤CO2释放量,而减少了土壤N2O的释放量;将会减少土壤中的碳库存量。另外,森林生态系统对积雪厚度变化的敏感性较其他生态系统小。从方法学上,发现Snowfence和Shelter方法在加雪或减雪的长期实验中更理想。
关于氮循环对积雪变化响应的文章以Response of terrestrial nitrogen dynamics to snow cover change: A meta-analysis of experimental manipulation 为题已正式发表于土壤学类期刊《土壤生物学与生物化学》(Soil Biology and Biochemistry, 2016, 100, 51-58);关于碳循环对积雪变化响应的文章以Response of terrestrial carbon dynamics to snow cover change: A meta-analysis of experimental manipulation (II)为题已正式发表于土壤学类期刊《土壤生物学与生物化学》(Soil Biology and Biochemistry, 2016, 103, 388-393 
)。该研究得到中科院战略科技先导专项 (XDB15010301)和国家自然科学基金项(No. 41375119; 31522010)的支持。
文章链接:1 2
图1.陆地生态系统氮循环变量对积雪厚度增加分别在减雪、加雪以及所有实验类型中的响应
图2.陆地生态系统碳循环变量对积雪厚度增加分别在减雪、加雪以及所有实验类型中的响应