English | 繁体 | RSS | 网站地图 | 收藏 | 邮箱 | 联系我们
首页 新闻 机构 科研 院士 人才 教育 合作交流 科学普及 出版 信息公开 专题 访谈 视频 会议 党建 文化
  您现在的位置: 首页 > 科研 > 科研进展
强磁场中心用户推断五价铱引起焦绿石结构的铱氧化物弱铁磁性
  文章来源:合肥物质科学研究院 发布时间:2014-09-01 【字号: 小  中  大   

   由于焦绿石结构的A2Ir2O7可能实现一些新的拓扑态,如Wely半金属等,现在引起了不少凝聚态物理研究者的兴趣。大家通过A位不同离子的引入来调节其物理性质,从而希望能进入到某一拓扑态的区间。而这其中的电子结构是与磁结构紧密相关联的,为了实现新的拓扑态,需要对A2Ir2O7材料的磁性了解清楚。本身Ir4+离子网络的磁性由于海森堡反铁磁耦合,DM作用,以及单个离子的各项异性三种主要相互作用已经造成多种可能的磁结构,A位离子特别是磁性离子的引入又可能增加f-d电子相互作用,使问题更复杂。
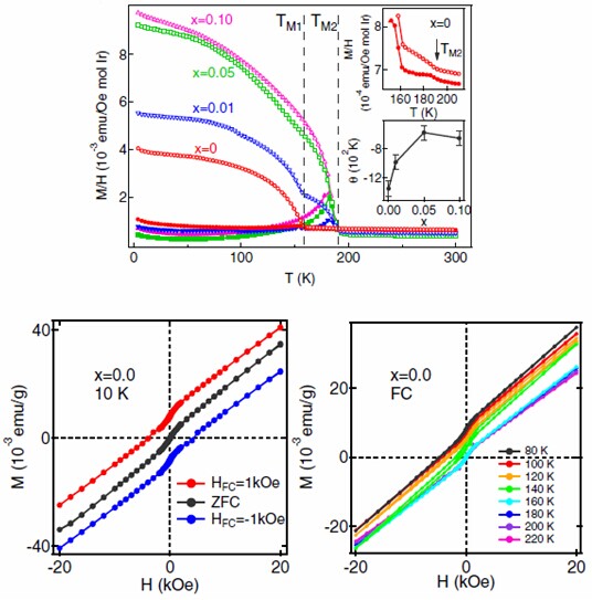
    印第安纳大学张世雄助理教授及其合作者考虑到从相对简单的体系出发(并且由于理论已有预言这个化合物在全进全出的磁基态下是一个Wely半金属),合成了Y2Ir2O7以及Ca(空穴)掺杂的样品,通过磁性、电子自旋共振、电输运、X射线光电子能谱等测量对这两个样品作了系统的研究。通过对比发现,这两个样品中均含有Ir5+,并且Ca掺杂的样品增强了Y2Ir2O7的弱铁磁性,据此推断Ir5+的存在应该是之前普遍观察到的A2Ir2O7呈现弱铁磁性的原因,并且指出不同研究者得到不同的磁化强度随温度转变曲线的原因。他们还观察到磁化曲线(M-H)在场冷下沿M轴发生位移,并指出这可能是铁磁相与反铁磁背景之间的耦合造成的。
  这项工作得到了中国科学院强磁场科学中心磁性测量系统和电子自旋共振测量系统的帮助。文章发表在2014年8月份的《物理评论B》(Physical Review B)上。
ZFC和FC电子自旋共振谱以及计算出的等效局域场,反映出其中弱铁磁的出现和演化
M-T曲线出现两个相变,以及ZFC,FC磁化曲线(M-H)沿M轴发生移动

  打印本页 关闭本页
© 1996 - 中国科学院 版权所有 京ICP备05002857号  京公网安备110402500047号  联系我们
地址:北京市三里河路52号 邮编:100864