随着人们对量子态操控能力的提高,若干理论模型可以描述和仿真完全不同的量子系统,拉比模型就是一个典型的例子,它描述光与物质的相互作用,在许多领域都有广泛的应用,但过去拉比模型并不是精确可解的,人们普遍采用旋波近似将拉比模型转换为Jaynes-Cummings(JC)模型来求解和研究。在光场和原子之间耦合较弱的情况下,这种近似对系统主要物理性质的描述相当准确。最近,人们在超导量子比特系统成功实现了量子比特和共振系统的超强耦合,实验结果已经明显区别于采用旋波近似的JC模型,表明在弱耦合下所采取的旋波近似已不再适用,反旋波项的贡献不可忽略。这种现象在具有自旋-轨道耦合的冷原子系统同样有可能出现。
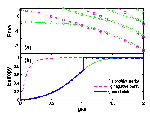
最近,中国科学院物理研究所/北京凝聚态物理国家实验室(筹)凝聚态理论和计算重点实验室的范桁研究员、曹俊鹏研究员、博士生崔帅及海南师范大学谢琼涛教授,与意大利Amico教授合作,提出一种各向异性的拉比模型,对其中旋波项和反旋波项可分别进行调制,同时再引入一个相位因子λ。这个模型具有很好的适用性,除了描述超导量子比特超强耦合系统,也可以直接描述同时具有Rashba和Dresselhaus两种类型自旋-轨道耦合的半导体和冷原子量子系统。采用新近发展的一种方法,他们求解了这种推广的拉比模型,得出体系的准确能谱和本征态,并将结论和超导量子比特系统的实验数据进行了比较,发现可以为实验数据提供一种可信的解释(见图3)。他们同时发现,模型基态在某些特殊点存在简并行为,通过对系统量子纠缠的研究发现其纠缠熵在简并点存在跳变行为。此各向异性的拉比模型可广泛应用于多种量子系统,对描述耦合强度从弱到强的所有区域都是适用的,其特殊物理性质也可由超导量子比特和冷原子等量子系统进行有效仿真。长期以来,人们一直试图构建一个连锁性的模型,它的不同参数区域对广泛的物理体系都有直接的物理含义。此项研究成果是这一方面的重要进展,会有较大影响。
相关研究得到科技部、基金委、创新协同中心以及中科院的支持。该工作近期已发表在Physical Review X 4, 021046 (2014)上。
文章链接

图1. 模型可以通过构造超越函数G来求解,函数的单纯零点对应能谱的正规解,而能谱非正规解由函数零点和极点的互消而得到。

图2. 模型精确解与数值解的比较。(a,b)分别是模型在不同参数下的能谱精确解(线段)与数值解(星号和小方框)的比较,可以看到两者符合很好。

图3. 超强耦合超导量子比特实验数据与新模型结果的比较。超导量子比特可以和共振场超强耦合,从实验数据(图中小圆圈所示)可以看出,结果已经明显偏离采用旋波近似的JC模型(λ=0),而原来为大家熟知的拉比模型为λ=1,其结果也和实验数据有偏离。如果采用我们新引进的各向异性拉比模型,可以让λ=0.5,能谱与实验数据符合很好。

图4. 各向异性拉比模型可以展示出基态的简并行为,如虚线所示。此结果为原有拉比模型所不具备。在简并点系统量子比特的冯诺依曼熵(量子纠缠熵)存在跳变行为。