English | 繁体 | RSS | 网站地图 | 收藏 | 邮箱 | 联系我们
首页 新闻 机构 科研 院士 人才 教育 合作交流 科学普及 出版 信息公开 专题 访谈 视频 会议 党建 文化
  您现在的位置: 首页 > 科研 > 科研进展
成都山地所西南干热河谷区沟头溯源侵蚀过程模拟研究获进展
  文章来源:水利部成都山地灾害与环境研究所 发布时间:2014-07-09 【字号: 小  中  大   

  金沙江干热河谷是我国西南特殊的脆弱生态区,冲沟侵蚀是其突出的生态环境问题。目前,国际土壤侵蚀学界关于冲沟沟头的形成和发育过程会导致侵蚀泥沙显著增加、地形变破碎的研究较多,但针对活跃冲沟沟头(切沟尺度)形态的时空变化过程,开展定量模拟控制试验研究还比较少。中国科学院水利部成都山地灾害与环境研究所熊东红研究员、苏正安助研等以元谋干热河谷沟蚀崩塌观测研究站为平台,深入开展冲沟沟头溯源侵蚀过程模拟研究并取得一定进展。

  研究团队选取西南干热河谷代表区元谋县一个典型的原态原位冲沟沟头开展土壤侵蚀速率和形态特征变化趋势研究试验。随着冲刷试验的进行,冲沟集水区发育形成浅沟,沟壁发生少量崩塌、沟床不断下切。在30 ~120/分钟放水量的作用下,冲沟沟头的溯源侵蚀速率为2.6~7.9 毫米/小时,并随着流量的增加而呈增加趋势。在空间上,冲沟沟头的土壤侵蚀量(占总侵蚀量的62~75%)和侵蚀速率均显著大于集水区。在时间上,沟床和集水区的土壤侵蚀速率呈由大变小、最终逐渐趋于稳定的趋势,土壤侵蚀量、沟头后退距离和下切深度则随着冲刷时间的增加而增加,但是冲沟沟头的溯源侵蚀速率并没有出现这种时间规律,这主要是由于沟头随着冲刷试验的进行而出现崩塌并导致溯源侵蚀速率出现突变。

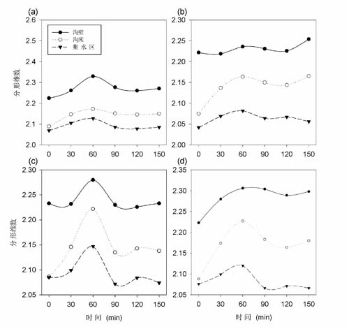
  试验发现,冲沟沟头和集水区的地形分形维数在时间上呈相似的变化趋势,即从小变大,经过90分钟的放水冲刷试验后又逐渐变小并最终趋于稳定。值得注意的是,尽管冲沟沟头的崩塌会导致溯源侵蚀速率和径流泥沙的突然增加,但分形维数却仍逐渐趋于稳定,这表明冲沟沟头发育到一定程度后,其几何形态特征并不会发生显著变化。此外,尽管集水区与冲沟沟头的土壤侵蚀速率和分形维数的绝对值差异显著,但由于集水区发育形成浅沟,其几何形态(分形维数)与冲沟沟头在时间上的变化趋势比较一致。这表明从浅沟、切沟发育形成冲沟的整个侵蚀链形成中,其几何形态特征均会呈相似变化趋势:先破碎、然后逐渐变规则、最终趋于稳定。

  该研究得到了中科院西部行动计划(2011)、院知识创新工程项目(KZCXZ-EW-QN317)、中国科学院院长专项基金(2011)和成都山地所青年人才计划(SDSQB-2011-01)的支持,相关研究进展和试验结论发表在国际学术期刊Geomorphology上。

  原文链接

 

元谋站原态原位观测场

 

冲沟活跃区不同部位分形维数变化趋势:(a)30 L/min; (b)60 L/min; (c)90 L/min; (d)120 L/min 

  打印本页 关闭本页
© 1996 - 中国科学院 版权所有 京ICP备05002857号  京公网安备110402500047号  联系我们
地址:北京市三里河路52号 邮编:100864