English | 繁体 | RSS | 网站地图 | 收藏 | 邮箱 | 联系我们
首页 新闻 机构 科研 院士 人才 教育 合作交流 科学普及 出版 信息公开 专题 访谈 视频 会议 党建 文化
  您现在的位置: 首页 > 科研 > 科研进展
武汉植物园多年生黑麦草糖代谢应答盐胁迫研究获进展
  文章来源:武汉植物园 发布时间:2013-10-11 【字号: 小  中  大   

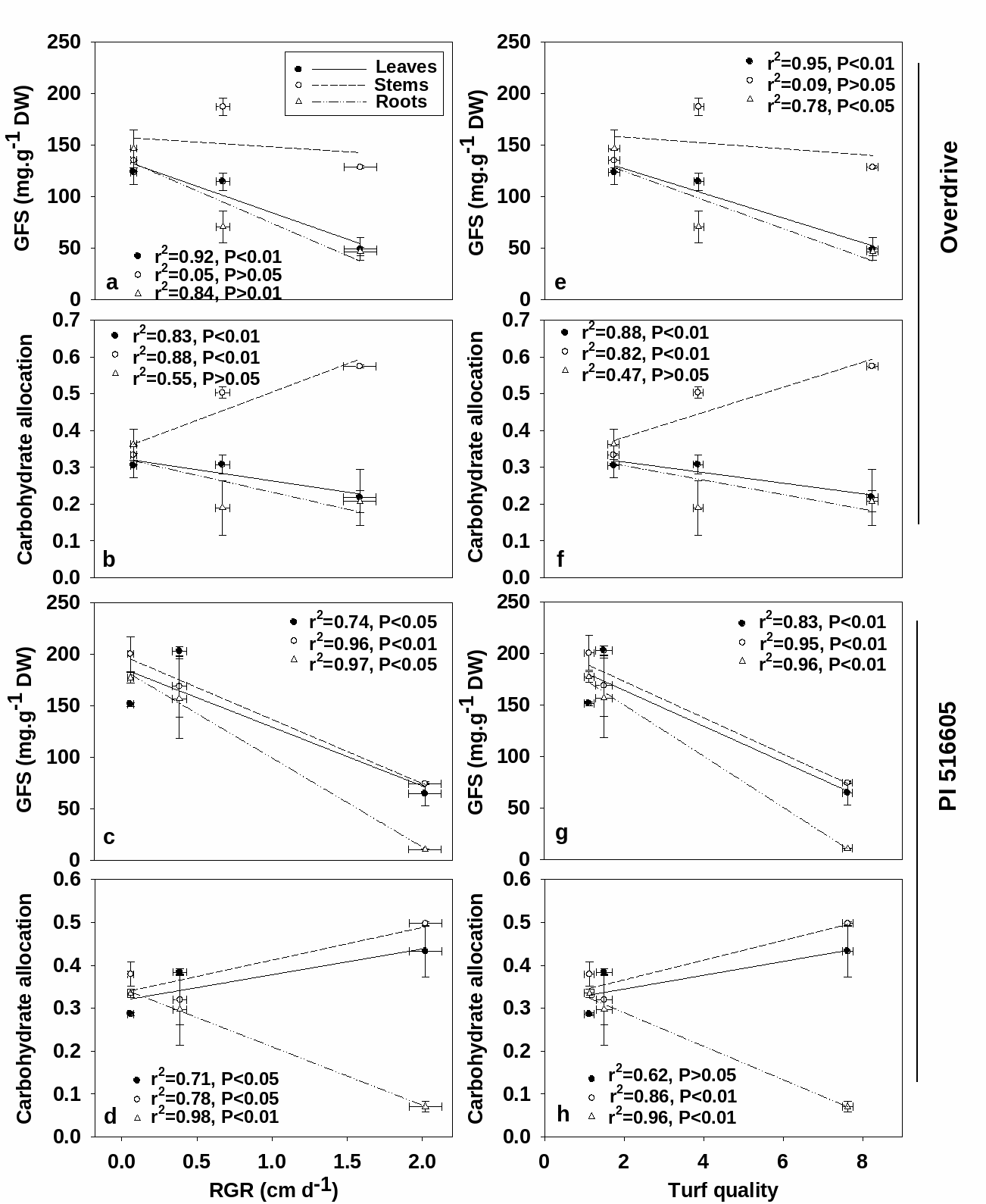
  盐胁迫是盐碱地土壤上限制作物生长发育最重要的不利因素。可溶性糖(主要为蔗糖、葡萄糖和果糖)不仅是能源和渗透调节物质,而且是重要的信使分子,在光合作用等许多细胞代谢活动的信号转导过程中起调控作用。蔗糖、葡萄糖和果糖在植物细胞中可以相互转换,也可以在植物不同组织中流动形成不同分配,形成不同代谢流。有关盐胁迫对糖代谢的影响在棉花等农作物种已有不少报道,然而,有关植物应答盐胁迫的糖代谢流作用机理目前仍不清楚。多年生黑麦草(Lolium perenne L.)是一种广泛应用于温带地区的草坪草兼牧草,可以作为盐碱地开发先锋植物。分析盐胁迫下植物不同组织中可溶性糖分配变化,将对理解可溶性糖对光合作用的反馈调节作用以及植物适应盐胁迫的可溶性糖代谢流特性具有重要意义。

  中国科学院武汉植物园草坪种质资源学学科组胡涛博士在傅金民研究员的指导下,利用本课题筛选的耐盐和敏感型多年生黑麦草为材料,对盐胁迫下叶片光合作用、源库组织中可溶性糖含量、糖代谢关键酶活性、基因和蛋白表达水平变化进行了系统研究。结果表明,盐胁迫下耐盐型Overdrive比敏感型PI 538976具有更高的光合作用,RGR,NRT,草坪质量,rbcL、SPS、SS、SI、6-SFT表达水平,Rubisco酶活性,Rubisco大亚基蛋白表达水平,库组织中积累更低的可溶性糖。多年生黑麦草耐盐能力和茎中较低的碳水化合物分配呈正相关。库组织中可溶性糖的积累对光合作用产生反馈调节作用。叶、茎和根中己糖积累对光合作用产生抑作用。糖代谢过程中基因调控发生在转录水平,可溶性糖的过量积累抑制或诱导了多年生黑麦草中糖代谢基因的表达。糖代谢基因的上调表达和植物的耐盐能力呈一定的正相关。从生理水平上部分解析了糖代谢参与植物耐盐性的分子机理。

    相关研究成果在国际期刊Plos OneJournal of the American Society for Horticultural Science上在线发表。

  以上研究获得农业部行业(农业)科研专项经费项目(No.200903001)和国家自然科学基金(No.31071822)的共同支持。

  论文链接1 2 

   

  对比分析不同源库组织中特异糖分配比与多年生黑麦草耐盐性的相互关系(Plos One)

   

  Rubisco酶基因(A)和蛋白(B)在不同耐盐性多年生黑麦草中差异表达(Journal of the American Society for Horticultural Science

  打印本页 关闭本页
© 1996 - 中国科学院 版权所有 京ICP备05002857号  京公网安备110402500047号  联系我们
地址:北京市三里河路52号 邮编:100864