近日,中科院武汉物理与数学研究所管习文研究员课题组与中山大学、新加坡南洋科技大学、澳大利亚国立大学及北京计算科学研究中心合作,在一维量子多体普适理论研究方向取得新进展,其结果发表在《物理评论快报》(PRL)上。
一维量子多体系统具有典型的强关联特征。通常Tomonaga-Luttinger液体(TLL)理论描述一维多体系统的低能普适行为,人们普遍认为强关联导致了很强的量子涨落,由此集体激发行为破坏朗道费米液体中的准粒子物理图像。早先也有理论认为可以从朗道费米液体理论来解释自旋-电荷分离现象。然而,费米液体与TLL液体的内在关系一直缺乏严格理论和实验论证。在费米液体理论中,威尔逊比率是描述朗道费米液体理论的重要可观测物理量,最近实验上成功测量了自旋梯子的威尔逊比率,这为为探索一维系统的朗道费米液体解释提供了实验支持。
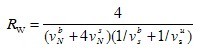
课题组管习文研究员与其合作者尹相国,A. Foerster, M. Batchelor,李朝红及北京计算科学中心林海青教授合作,利用可积的杨-Gaudin费米气体模型,成功计算出了接触吸引相互作用费米气体系统的威尔逊比率。在粒子数失衡的情况下,费米子部分是配对,从而形成配对原子(p)和未配对原子(u)两组分TLL液体。该工作从系统的严格解出发,求解出系统的低温磁化率和比热,据此发现威尔逊比率在低能区是与温度无关的常数并可以用系统的密度刚度
及声速
来确定。其形式是普适的并对任意相互作用强度均成立:

在此基础上,并给出了相变点附近威尔逊比率和TLL参数的关系。这不仅揭示了一维费米液体理论和TTL的本质联系,并说明威尔逊比率在任意维数时都可以有效的描写朗道费米液体行为,还提供了在临界区测量TTL参数的间接方法。该文章所给出的低温和临界区的威尔逊比率,为将来直接试验测量提供了理论依据。
该研究得到了国家自然科学基金和国家“973”计划项目的支持。
论文链接