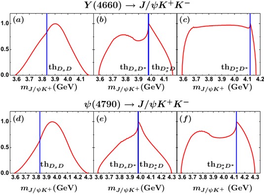
中科院近代物理研究所理论室科研人员将初态单pion出射机制拓展到初态单手征粒子出射机制,研究了高激发态的粲偶素衰变到J/ψK+K‑过程。在J/ψK的不变质量谱上,研究人员预言了DsD*/Ds*D和Ds*D*阈值附近的增强结构。
近物所理论室科研人员在2011年就开始新强子态研究,并取得了一系列成果,在Phys. Rev. D等学术刊物发表了近10篇论文。
为了解释Belle实验组在Υ(5S)的双pion衰变过程中观测到的Zb(10610)和Zb(10650),研究人员首次提出了初态单pion出射机制,该机制成功地解释了Zb(10610)和Zb(10650)。考虑到粲偶素和底偶素的相似性,研究人员将该机制拓展到高激发态粲偶素的双pion衰变过程,在J/ψπ的不变质量谱上预言了DD*和D*D*阈值附近的增强结构。最近,BESIII实验组通过研究Y(4260)衰变到J/ψπ+π-过程中J/ψπ的不变质量谱,观测到了一个增强结构Zc(3900)。这个增强结构与近物所科研人员之前预言的结果非常接近。随后该结构很快被Belle实验组和CLEO 实验组证实。
近物所理论室科研人员进一步将初态单pion出射机制拓展,研究了高激发态的粲偶素衰变到J/ψK+K‑过程的过程。因为pion和kaon都是手征粒子,因此初态单pion机制拓展为初态单手征粒子出射机制。利用该机制,科研人员研究了Y(4660)和ψ(4790)衰变到J/ψK+K‑的过程。在J/ψK的不变质量谱上,预言了两个新的增强结构。
研究结果在Phys. Rev. Lett. 110, 232001 (2013)发表。
文章链接

图 在初态单手征粒子机制下计算得到的Y(4660)/ψ(4790)→J/ψ K+K‑过程J/ψK+的不变质量谱