主要职责
中国科学院贯彻落实党中央关于科技创新的方针政策和决策部署,在履行职责过程中坚持党中央对科技工作的集中统一领导。主要职责是:
一、开展使命导向的自然科学领域基础研究,承担国家重大基础研究、应用基础研究、前沿交叉共性技术研究和引领性颠覆性技术研究任务,打造原始创新策源地。 更多+
院况简介
中国科学院是国家科学技术界最高学术机构、国家科学技术思想库,自然科学基础研究与高技术综合研究的国家战略科技力量。
1949年,伴随着新中国的诞生,中国科学院成立。建院70余年来,中国科学院时刻牢记使命,与科学共进,与祖国同行,以国家富强、人民幸福为己任,人才辈出,硕果累累,为我国科技进步、经济社会发展和国家安全作出了不可替代的重要贡献。 更多+
院领导集体
科技奖励
科技期刊
科技专项
科研进展/ 更多
工作动态/ 更多
工作动态/ 更多
中国科学院学部
中国科学院院部
语音播报
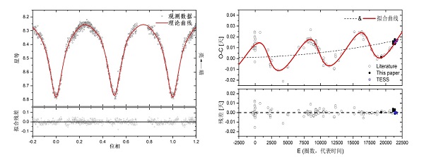
近日,《英国皇家天文学会月刊》(Monthly Notices of the Royal Astronomical Society)发表了中国科学院云南天文台双星与变星研究团组博士赵二刚和研究员钱声帮等人的研究成果。研究发现食双星仙王座GK的双胞胎子星间存在快速物质转移,给出了双星物质交流演化的关键证据,并发现该双星含有类太阳第三天体,处于分层的三星系统中。
仙王座GK是由两颗A型子星组成的食双星系统,其两颗子星具有非常接近的质量、半径和温度,是典型的双胞胎双星系统。两子星的轨道周期接近一天,地面望远镜较难观测到完整光变曲线。作为嫦娥三号月球着陆器的有效荷载之一,月基紫外天文望远镜的主要工作在近紫外波段,能够对同一目标进行连续十几天的不间断观测,这对于地面望远镜来说是不能实现的。研究人员利用该月基望远镜,获得了仙王座GK的连续完整光变曲线;同时利用云南天文台凤凰山本部的一米望远镜和位于丽江高美古观测站的中泰70公分望远镜对其进行监测,获得了其一系列掩食极小时刻。
光变曲线的分析表明,该双星是一个温度较高的小质量次星充满洛希瓣的半相接系统,且两子星质量非常接近。此系统中半相接的几何结构、轨道周期的长期增加揭示了仙王座GK存在由次星向主星的物质转移,并且光变曲线的分析给出了主星上由于物质交流形成的热斑的佐证(图2)。结合其接近1的高质量比,说明其刚好经历了快速物质交流的最短周期阶段,处于关键演化状态的极少数密近双星样本中的一员。
轨道周期的周期性变化说明其在双星系统之外,存在一个类太阳额外天体,在光变曲线分析中额外天体的光度贡献约为2.6%,两者吻合得很好。这进一步说明了双星中第三天体在双星的形成和演化中发挥了重要作用,可能通过相互作用及动力学演化加速中心双星的形成和演化。
研究工作获得国家自然科学基金重点项目、青年项目和云南省应用基础研究面上项目的资助。

图1.月基望远镜获得的紫外波段光变曲线(左图)及轨道周期变化情况(右图)

图2.仙王座GK处于0.75位相的几何结构图(其中蓝色区域为物质交流引起的撞击热斑)
© 1996 - 中国科学院 版权所有 京ICP备05002857号-1
京公网安备110402500047号 网站标识码bm48000002
地址:北京市西城区三里河路52号 邮编:100864
电话: 86 10 68597114(总机) 86 10 68597289(总值班室)








