主要职责
中国科学院贯彻落实党中央关于科技创新的方针政策和决策部署,在履行职责过程中坚持党中央对科技工作的集中统一领导。主要职责是:
一、开展使命导向的自然科学领域基础研究,承担国家重大基础研究、应用基础研究、前沿交叉共性技术研究和引领性颠覆性技术研究任务,打造原始创新策源地。 更多+
院况简介
中国科学院是国家科学技术界最高学术机构、国家科学技术思想库,自然科学基础研究与高技术综合研究的国家战略科技力量。
1949年,伴随着新中国的诞生,中国科学院成立。建院70余年来,中国科学院时刻牢记使命,与科学共进,与祖国同行,以国家富强、人民幸福为己任,人才辈出,硕果累累,为我国科技进步、经济社会发展和国家安全作出了不可替代的重要贡献。 更多+
院领导集体
科技奖励
科技期刊
科技专项
科研进展/ 更多
工作动态/ 更多
工作动态/ 更多
中国科学院学部
中国科学院院部
语音播报
霍金辐射是黑洞因量子涨落向外辐射粒子的现象。它是理解量子力学与广义相对论之间联系的关键。然而,在宇宙中,黑洞的霍金辐射因其极低的霍金温度(纳开尔文量级,远低于微波背景辐射温度)尚未被实验证实。为了提高霍金温度便于实验观测,人们提出了利用经典流体、量子流体、光纤等各种人工系统模拟黑洞及其辐射的方案。然而,到目前为止,玻色-爱因斯坦凝聚体中的声学黑洞的纳开尔文量级的霍金温度依然很难被实验观测,光纤中的光学模拟黑洞也备受争议。
以上这些体系均是基于声子、光子等玻色子体系。与此不同的是,固体里存有大量电子、准电子等费米子,由于这些基本费米子间的静电力强于引力很多数量级,由狄拉克半金属模拟的费米性黑洞应具有较高的霍金温度。然而,因缺乏可控的狄拉克费米子体系,此类费米子的霍金辐射的物理机制和真实材料的实现是普遍关注的重点,但未被解决。
近日,中国科学院物理研究所/北京凝聚态物理国家研究中心表面物理国家重点实验室博士生刘行、宋晨晨在研究员孟胜的指导下,与北京理工大学教授孙家涛和美国犹他大学教授刘锋、博士后黄华卿合作,在前期发现黑磷的电子能带可受周期性光场的调制产生具有可调节斜率的狄拉克锥的基础之上[Physical Review Letters 120, 237403 (2018)],进一步利用第一性原理量子激发动力学计算和量子隧穿模型分析,预言了首个模拟费米子霍金辐射的真实系统,即激光场辐照下的黑磷(图1)。这个系统呈现出迄今为止最高、且实验可探测的霍金温度(1-10 K)。
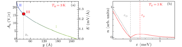
研究发现,通过辐照特定的空间非均匀激光场,二维黑磷呈现出在空间上连续分布的第二、第三、第一类狄拉克电子态。三类费米子的有效作用势分别与史瓦西黑洞内部、边缘、外部所对应的引力势一致(图2),因此可用狄拉克费米子体系模拟黑洞行为及黑洞的量子辐射效应。量子效应使狄拉克电子从第二类狄拉克区域向第一类狄拉克区域隧穿,形成了与史瓦西黑洞辐射同样的普朗克辐射谱(图3)。实时的第一性原理激发动力学模拟表明,具有比较弱功率(0.0003V/Å)的太赫兹(~7 THz)激光就可以实现对黑洞行为的模拟,并且黑磷在这一激光场不会被损坏。
光辐照双层黑磷产生的“黑洞”呈现出3K的超高霍金温度,远高于引力黑洞及其它人工玻色黑洞的辐射温度,这表明此理论方案可以在当前实验室中实现。光照黑磷中的超高温费米黑洞辐射的理论预言为实验观测霍金辐射奠定了基础,也为研究凝聚态物质中的类天体物理现象提供了新的平台和手段。相关研究成果发表在Physical Review Letters 37, 067101(2020)(Express Letters)上,研究工作得到科技部重点研发计划和国家自然科学基金委员会的资助。

图1. 双层黑磷中激光辐照产生费米子“黑洞”示意图

图2.黑洞(Black Hole, BH)内外的光锥(上图)与模拟费米子黑洞内外的狄拉克锥(下图)的对照

图3.双层黑磷中的费米子史瓦西“黑洞”所需的(a)光场分布及(b)霍金辐射谱
© 1996 - 中国科学院 版权所有 京ICP备05002857号-1
京公网安备110402500047号 网站标识码bm48000002
地址:北京市西城区三里河路52号 邮编:100864
电话: 86 10 68597114(总机) 86 10 68597289(总值班室)








