主要职责
中国科学院贯彻落实党中央关于科技创新的方针政策和决策部署,在履行职责过程中坚持党中央对科技工作的集中统一领导。主要职责是:
一、开展使命导向的自然科学领域基础研究,承担国家重大基础研究、应用基础研究、前沿交叉共性技术研究和引领性颠覆性技术研究任务,打造原始创新策源地。 更多+
院况简介
中国科学院是国家科学技术界最高学术机构、国家科学技术思想库,自然科学基础研究与高技术综合研究的国家战略科技力量。
1949年,伴随着新中国的诞生,中国科学院成立。建院70余年来,中国科学院时刻牢记使命,与科学共进,与祖国同行,以国家富强、人民幸福为己任,人才辈出,硕果累累,为我国科技进步、经济社会发展和国家安全作出了不可替代的重要贡献。 更多+
院领导集体
科技奖励
科技期刊
科技专项
科研进展/ 更多
工作动态/ 更多
工作动态/ 更多
中国科学院学部
中国科学院院部
语音播报
近日,中国科学院苏州纳米技术与纳米仿生研究所研究员邸江涛等与佐治亚理工学院教授Ching-ping Wong合作,设计并制备出锌掺杂氧化铜纳米线(Zn-CuO)三维阵列结构,为电化学活性物质MnO2提供导电支架,获得高负载的MnO2纳米片材料。将生长在铜线表面的Zn-CuO@MnO2材料用于同轴非对称纤维型超级电容器正极材料,获得了高的比容量及宽的工作电压窗口。
同轴非对称纤维型器件具有体积小、便携、工作窗口大等优势,被认为在未来柔性可穿戴及微型的电子器件领域具有广阔的应用前景。然而目前,同轴非对称纤维器件仍存在能量密度低、电极材料及结构设计的局限性等问题,这限制了其进一步应用。二氧化锰具有高的理论容量、低成本、低毒性和环境友好等特性,被认为是优异的电化学活性材料。然而,二氧化锰材料低的导电性和易于团聚的问题导致了其有限的比容量和功率密度。
为解决上述问题,苏州纳米所研究员李清文团队与Ching-ping Wong团队合作,设计并制备出Zn-CuO@MnO2纳米线阵列电极;使用Zn0.11CuO@MnO2作为核电极(正极)、生长在碳纳米管薄膜上的VN纳米线阵列作为负极,包覆在核电极表面组装同轴非对称超级电容器。
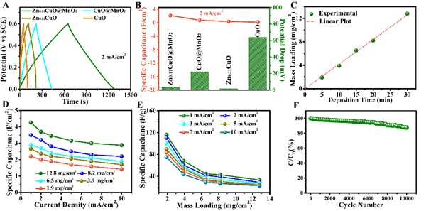
Zn-CuO纳米线通过一步法原位生长在铜线表面,为MnO2提供导电支架和沉积基底。Zn掺杂进入CuO晶格提高了CuO的导电性,改进了MnO2纳米片在电化学反应过程中与导电基底之间有效的电子传输。与其他导电支架相比,Zn-CuO纳米线为复合电极贡献了部分容量。通过掺杂不同含量的Zn,获得了导电性和比容量较佳的Zn0.11CuO纳米线材料。其能够负载MnO2的质量达12.4 mg/cm2,使电极获得了高的面积比容量(4.26 F/cm2)。
该同轴非对称器件的工作电压能够达到1.8 V,比容量为296.6 mF/cm2,能量密度为133.5 mWh/cm2(功率密度为0.9 mW/cm2)。与其他同轴非对称超级电容器相比,该研究制备的器件的能量密度和功率密度明显优于其他同类器件。为进一步验证其在可穿戴柔性器件领域的应用,研究人员考察了同轴非对称超级电容器在不同弯曲条件下的电化学稳定性。结果显示,在不同弯曲条件下,器件充放电曲线无明显变化,这说明其在外力形变状态下,具有较好的电化学稳定性及循环稳定性。这种同轴非对称超级电容器能够点亮一个2 V的LED小灯泡并能维持60 s。该研究成果的发表为纤维型储能器件在柔性可穿戴领域的发展提供了进一步的可能性。
相关研究成果以Atomic Modulation 3D Conductive Frameworks Boosts Performance of MnO2 for Coaxial Fiber-Shaped Supercapacitors为题,发表在Nano-Micro Letters上。苏州纳米所助理研究员、博士王晓娜为论文第一作者,邸江涛、李清文、Ching-ping Wong为论文的通讯作者。

图1.(A-F)同轴非对称超级电容器制备示意图。(G)同轴非对称超级电容器截面示意图

图2.(A-B)CuO,CuO@MnO2,Zn0.11CuO and Zn0.11CuO@MnO2电极电化学充放电曲线及比容量与压降图。(C)MnO2负载量与沉积时间的关系。(D-E)Zn0.11CuO@MnO2电极在不同MnO2负载量时面积和质量比容量的关系。(F)Zn0.11CuO@MnO2电极循环稳定性

图3.(A)同轴非对称超级电容器在不同弯曲状态下的光学图片。(B)在1-3弯曲状态下,同轴非对称超级电容器的充放电曲线。(C)在90度弯曲状态下,器件的充放电循环测试。(D)同轴非对称超级电容器在便携式可穿戴领域展示出潜在的应用前景
扫一扫在手机打开当前页
© 1996 - 中国科学院 版权所有 京ICP备05002857号-1
京公网安备110402500047号 网站标识码bm48000002
地址:北京市西城区三里河路52号 邮编:100864
电话: 86 10 68597114(总机) 86 10 68597289(总值班室)








